
- A.(-2,2)
- B.(-2,4)
- C.(0,4)
- D.(-4,0)
正确答案及解析
正确答案
C
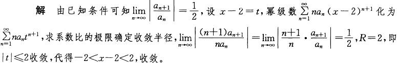
解析

你可能感兴趣的试题

-
- A.1号洞室
- B.2号洞室
- C.两个一样好
- D.两个一样差
- 查看答案

-
- A.<img src='http://tp.mxqe.com/data/739/13568830_0_1.jpg' alt='专业案例,章节练习,岩溶及特殊岩土体地质' title='专业案例,章节练习,岩溶及特殊岩土体地质'>
- B.<img src='http://tp.mxqe.com/data/739/13568830_0_2.jpg' alt='专业案例,章节练习,岩溶及特殊岩土体地质' title='专业案例,章节练习,岩溶及特殊岩土体地质'>
- C.<img src='http://tp.mxqe.com/data/739/13568830_0_3.jpg' alt='专业案例,章节练习,岩溶及特殊岩土体地质' title='专业案例,章节练习,岩溶及特殊岩土体地质'>
- D.<img src='http://tp.mxqe.com/data/739/13568830_0_4.jpg' alt='专业案例,章节练习,岩溶及特殊岩土体地质' title='专业案例,章节练习,岩溶及特殊岩土体地质'>
- 查看答案

-
- A.一般酸型腐蚀
- B.重碳酸型腐蚀
- C.硫酸盐型腐蚀
- D.无腐蚀
- 查看答案

-
- A.<img src='http://tp.mxqe.com/data/739/13568824_0_1.jpg' alt='专业案例,章节练习,岩溶及特殊岩土体地质' title='专业案例,章节练习,岩溶及特殊岩土体地质'>
- B.<img src='http://tp.mxqe.com/data/739/13568824_0_2.jpg' alt='专业案例,章节练习,岩溶及特殊岩土体地质' title='专业案例,章节练习,岩溶及特殊岩土体地质'>
- C.<img src='http://tp.mxqe.com/data/739/13568824_0_3.jpg' alt='专业案例,章节练习,岩溶及特殊岩土体地质' title='专业案例,章节练习,岩溶及特殊岩土体地质'>
- D.<img src='http://tp.mxqe.com/data/739/13568824_0_4.jpg' alt='专业案例,章节练习,岩溶及特殊岩土体地质' title='专业案例,章节练习,岩溶及特殊岩土体地质'>
- 查看答案

-
- A.次生盐渍化浸没
- B.涝渍化浸没
- C.沼泽化浸没
- D.不浸没
- 查看答案