题目详情

基础知识,章节练习,土木基础知识真题

基础知识,章节练习,土木基础知识真题

  • A.见图A
  • B.见图B
  • C.见图C
  • D.见图D

正确答案及解析

正确答案
A
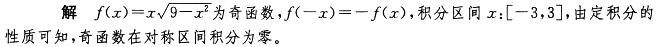
解析

基础知识,章节练习,土木基础知识真题

你可能感兴趣的试题

单选题

基础知识,章节练习,现代技术基础,信号与信息基础

  • A.某非周期信号的幅值频谱
  • B.某周期信号的幅值频谱
  • C.某非周期信号的频谱
  • D.某周期信号的频谱
查看答案
单选题

基础知识,章节练习,现代技术基础,信号与信息基础

  • A.010110和22
  • B.011010和26
  • C.11010和26
  • D.10110和22
查看答案
单选题

基础知识,章节练习,现代技术基础,信号与信息基础

  • A.F=XY+y
  • B.F=y
  • C.F=XY+YZ+1,
  • D.<img src='http://tp.mxqe.com/data/736/13574632_0_1.jpg' alt='基础知识,章节练习,现代技术基础,信号与信息基础' title='基础知识,章节练习,现代技术基础,信号与信息基础'>
查看答案
单选题

基础知识,章节练习,现代技术基础,信号与信息基础

  • A.<img src='http://tp.mxqe.com/data/736/13574631_0_1.jpg' alt='基础知识,章节练习,现代技术基础,信号与信息基础' title='基础知识,章节练习,现代技术基础,信号与信息基础'>
  • B.<img src='http://tp.mxqe.com/data/736/13574631_0_2.jpg' alt='基础知识,章节练习,现代技术基础,信号与信息基础' title='基础知识,章节练习,现代技术基础,信号与信息基础'>
  • C.<img src='http://tp.mxqe.com/data/736/13574631_0_3.jpg' alt='基础知识,章节练习,现代技术基础,信号与信息基础' title='基础知识,章节练习,现代技术基础,信号与信息基础'>
  • D.<img src='http://tp.mxqe.com/data/736/13574631_0_4.jpg' alt='基础知识,章节练习,现代技术基础,信号与信息基础' title='基础知识,章节练习,现代技术基础,信号与信息基础'>
查看答案
单选题

基础知识,章节练习,现代技术基础,信号与信息基础

  • A.<img src='http://tp.mxqe.com/data/736/13574630_0_1.jpg' alt='基础知识,章节练习,现代技术基础,信号与信息基础' title='基础知识,章节练习,现代技术基础,信号与信息基础'>
  • B.<img src='http://tp.mxqe.com/data/736/13574630_0_2.jpg' alt='基础知识,章节练习,现代技术基础,信号与信息基础' title='基础知识,章节练习,现代技术基础,信号与信息基础'>
  • C.<img src='http://tp.mxqe.com/data/736/13574630_0_3.jpg' alt='基础知识,章节练习,现代技术基础,信号与信息基础' title='基础知识,章节练习,现代技术基础,信号与信息基础'>
  • D.<img src='http://tp.mxqe.com/data/736/13574630_0_4.jpg' alt='基础知识,章节练习,现代技术基础,信号与信息基础' title='基础知识,章节练习,现代技术基础,信号与信息基础'>
查看答案

相关题库更多 +