

- A.见图A
- B.见图B
- C.见图C
- D.见图D
正确答案及解析
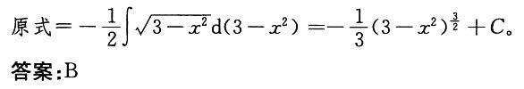
正确答案
B
解析
解利用不定积分第一类换元积分法计算。
你可能感兴趣的试题

-
- A.某非周期信号的幅值频谱
- B.某周期信号的幅值频谱
- C.某非周期信号的频谱
- D.某周期信号的频谱
- 查看答案

-
- A.010110和22
- B.011010和26
- C.11010和26
- D.10110和22
- 查看答案

-
- A.F=XY+y
- B.F=y
- C.F=XY+YZ+1,
- D.<img src='http://tp.mxqe.com/data/736/13574632_0_1.jpg' alt='基础知识,章节练习,现代技术基础,信号与信息基础' title='基础知识,章节练习,现代技术基础,信号与信息基础'>
- 查看答案

-
- A.<img src='http://tp.mxqe.com/data/736/13574631_0_1.jpg' alt='基础知识,章节练习,现代技术基础,信号与信息基础' title='基础知识,章节练习,现代技术基础,信号与信息基础'>
- B.<img src='http://tp.mxqe.com/data/736/13574631_0_2.jpg' alt='基础知识,章节练习,现代技术基础,信号与信息基础' title='基础知识,章节练习,现代技术基础,信号与信息基础'>
- C.<img src='http://tp.mxqe.com/data/736/13574631_0_3.jpg' alt='基础知识,章节练习,现代技术基础,信号与信息基础' title='基础知识,章节练习,现代技术基础,信号与信息基础'>
- D.<img src='http://tp.mxqe.com/data/736/13574631_0_4.jpg' alt='基础知识,章节练习,现代技术基础,信号与信息基础' title='基础知识,章节练习,现代技术基础,信号与信息基础'>
- 查看答案

-
- A.<img src='http://tp.mxqe.com/data/736/13574630_0_1.jpg' alt='基础知识,章节练习,现代技术基础,信号与信息基础' title='基础知识,章节练习,现代技术基础,信号与信息基础'>
- B.<img src='http://tp.mxqe.com/data/736/13574630_0_2.jpg' alt='基础知识,章节练习,现代技术基础,信号与信息基础' title='基础知识,章节练习,现代技术基础,信号与信息基础'>
- C.<img src='http://tp.mxqe.com/data/736/13574630_0_3.jpg' alt='基础知识,章节练习,现代技术基础,信号与信息基础' title='基础知识,章节练习,现代技术基础,信号与信息基础'>
- D.<img src='http://tp.mxqe.com/data/736/13574630_0_4.jpg' alt='基础知识,章节练习,现代技术基础,信号与信息基础' title='基础知识,章节练习,现代技术基础,信号与信息基础'>
- 查看答案