设f(x,y)=3x+xy2+xlnx,则点(e-4,0)( )
- A.是f(x,y)的驻点,也是f(x,y)的极大值点。
- B.是f(x,y)的驻点,也是f(x,y)的极小值点。
- C.不是f(x,y)的驻点,是f(x,y)的极大值点。
- D.不是f(x,y)的驻点,是f(x,y)的极小值点。
- E.不是f(x,y)的驻点,也不是f(x,y)的极值点。
正确答案及解析
正确答案
B
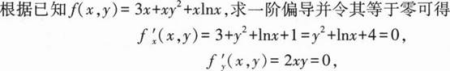
解析


你可能感兴趣的试题
在社会规范学习与道德品质发展的研究中,班都拉(ABandura)等心理学家的研究重点是
-
- A.道德认识
- B.道德情感
- C.道德意志
- D.道德行为
- 查看答案



