题目详情

文科数学,章节练习,文科数学模拟

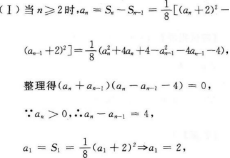
(Ⅰ)求证数列{an}是等差数列;

文科数学,章节练习,文科数学模拟

正确答案及解析

正确答案
解析

文科数学,押题密卷,2022年成人高等考试《文科数学》(高升本)押题密卷

∴{an}是以2为首项,以4为公差的等差数列.

文科数学,押题密卷,2022年成人高等考试《文科数学》(高升本)押题密卷

包含此试题的试卷

你可能感兴趣的试题

问答题

物理化学综合,章节练习,光学

查看答案
问答题

物理化学综合,章节练习,光学

查看答案
单选题

物理化学综合,章节练习,光学

物理化学综合,章节练习,光学

  • A.80°
  • B.75°
  • C.90°
  • D.100°
查看答案
单选题

物理化学综合,章节练习,光学

物理化学综合,章节练习,光学

物理化学综合,章节练习,光学

  • A.见图A
  • B.见图B
  • C.见图C
  • D.见图D
查看答案
单选题

物理化学综合,章节练习,光学

  • A.光电子的初动能增大
  • B.光电子的初动能不变
  • C.光电子的初动能减小
  • D.不释放光电子
查看答案

相关题库更多 +