题目详情

文科数学,章节练习,文科数学模拟

  • A.见图A
  • B.见图B
  • C.见图C
  • D.见图D

正确答案及解析

正确答案
C
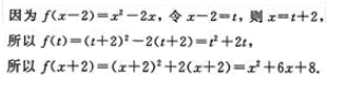
解析

文科数学,章节练习,文科数学模拟

你可能感兴趣的试题

单选题

英语,章节练习,英语专科

  • A.见图A
  • B.见图B
  • C.见图C
  • D.见图D
查看答案
单选题

英语,章节练习,英语专科

  • A.见图A
  • B.见图B
  • C.见图C
  • D.见图D
查看答案
单选题

英语,章节练习,英语专科

  • A.见图A
  • B.见图B
  • C.见图C
  • D.见图D
查看答案
单选题

英语,章节练习,英语专科

  • A.见图A
  • B.见图B
  • C.见图C
  • D.见图D
查看答案
单选题

英语,章节练习,英语专科

  • A.见图A
  • B.见图B
  • C.见图C
  • D.见图D
查看答案

相关题库更多 +