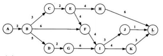
下图是一个软件项目活动图,其中顶点表示项目里程碑,连接顶点边表示包含活动,则完成该项目最少时间为(请作答此空)天。活动E->H松弛时间为( )天。

- A.17
- B.19
- C.20
- D.22
正确答案及解析
正确答案
D
解析
最少时间就是求项目关键路径,即所有路径中最长一条,在该图中有两条路径,分别为ABCEFIKL和ABDGIKL,共计22天。
下图是一个软件项目活动图,其中顶点表示项目里程碑,连接顶点边表示包含活动,则完成该项目最少时间为(请作答此空)天。活动E->H松弛时间为( )天。

最少时间就是求项目关键路径,即所有路径中最长一条,在该图中有两条路径,分别为ABCEFIKL和ABDGIKL,共计22天。