某项目采用试差法计算内部收益率时,求得i1=15%、i2=18%、i3=20%所对应的净现值分别为150万元、30万元和-10万元,则该项目的内部收益率为( )。
- A.17.50%
- B.19.50%
- C.19.69%
- D.20.16%
正确答案及解析
正确答案
B
解析
2022/2021版教材P90
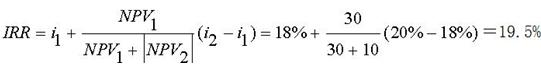
本题考查的是财务分析主要指标的计算。通常依据正负交替、最为接近的两组数据,采用试差法计算内部收益率(式3-26)。由于15%<18%,其相对应的净现值均大于零,故选定i1=18%;进而i2=20%、NPV1=30万元>0,NPV2=-10 进一步运用线性插入法,进行计算:

你可能感兴趣的试题
在常用的工程质量控制的统计方法中,可以用来系统整理分析某个质量问题及其产生原因之间关系的方法是( )。
-
- A.相关图法
- B.树枝图法
- C.排列图法
- D.直方图法
- 查看答案
监理单位在工程勘察阶段提供相关服务时,向建设单位提交的工程勘察成果评估报告中应包括的内容有( )
-
- A.勘察报告编制深度
- B.勘察任务书的完成情况
- C.与勘察标准的符合情况
- D.勘察人员资格和业绩情况
- E.勘察工作概况
- 查看答案
履行合同的担保方式包括( )。
-
- A.保证
- B.留置
- C.抵押
- D.定金
- E.违约金
- 查看答案
以下有关标准合同示范文本的说法正确的是( )。
-
- A.工程项目应当采用标准合同示范文本
- B.可以防止出现显失公平的合同条款
- C.有助于降低合同价格,提高交易效率
- D.采用标准合同示范文本可以避免在履行中发生合同变更
- 查看答案
以下有关单价合同的说法,正确的是( )。
-
- A.承包商几乎承担了工作量及价格变动的全部风险
- B.业主承担的风险较小
- C.价和量方面的风险分配对合同双方公平
- D.可缩短招投标时间,有利于尽早开工
- E.多适用于在发包时施工工程内容和工程量尚不能明确确定的情况
- 查看答案