
- A.<img src='http://tp.mxqe.com/data/36/11310101_0_1.jpg' alt='电气工程师公共基础,章节练习,注册电气工程师(工程科学基础)理论力学' title='电气工程师公共基础,章节练习,注册电气工程师(工程科学基础)理论力学'>
- B.<img src='http://tp.mxqe.com/data/36/11310101_0_2.jpg' alt='电气工程师公共基础,章节练习,注册电气工程师(工程科学基础)理论力学' title='电气工程师公共基础,章节练习,注册电气工程师(工程科学基础)理论力学'>
- C.<img src='http://tp.mxqe.com/data/36/11310101_0_3.jpg' alt='电气工程师公共基础,章节练习,注册电气工程师(工程科学基础)理论力学' title='电气工程师公共基础,章节练习,注册电气工程师(工程科学基础)理论力学'>
- D.<img src='http://tp.mxqe.com/data/36/11310101_0_4.jpg' alt='电气工程师公共基础,章节练习,注册电气工程师(工程科学基础)理论力学' title='电气工程师公共基础,章节练习,注册电气工程师(工程科学基础)理论力学'>
正确答案及解析
正确答案
C
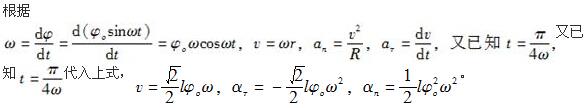
解析

你可能感兴趣的试题
关于评标委员会组成的说法,正确的是( )。
-
- A.招标人代表2人,专家6人
- B.招标人代表2人,专家5人
- C.招标人代表2人,专家4人
- D.招标人代表2人,专家3人
- 查看答案
在驻波中,两个相邻波节间各质点的振动( )。
-
- A.振幅相同,相位相同
- B.振幅不同,相位相同
- C.振幅相同,相位不同
- D.振幅不同,相位不同
- 查看答案
配置高速缓冲存储器(Cache)是为了解决( )。
-
- A.内存与辅助存储器之间速度不匹配问题
- B.CPU与辅助存储器之间速度不匹配问题
- C.CPU与内存储器之间速度不匹配问题
- D.主机与外设之间速度不匹配问题
- 查看答案
依据《安全生产法》的规定,生产经营单位主要负责人必须是生产经营单位生产经营活动的( )。
-
- A.法定代表人
- B.董事长
- C.总负责人
- D.主要决策人
- 查看答案
1mol的单原子分子理想气体从状态A变为状态B,气体未知,变化过程也未知,但A、B两态的压强、体积和温度都知道,则可求出( )。
-
- A.气体所作的功
- B.气体内能的变化
- C.气体传给外界的热量
- D.气体的质量
- 查看答案