(2022年7月真题)假设某公司与某银行签订一份1合约汇率为6.345000万美元的1×4买入远期外汇综合协议(SAFE),合约汇率为 6.345,合约约定的汇差即CS为0.0323,而到期日的基准汇率为6.4025,结算汇差即SS为0.0168。利率水平为2%,则以汇率协议(ERA)的结算方式下,银行支付( )。
- A.<img src='http://tp.mxqe.com/data/132/19708950_0.png' alt='期货基础知识,真题章节,期货从业资格基础知识(远期合约)' title='期货基础知识,真题章节,期货从业资格基础知识(远期合约)'>
- B.<img src='http://tp.mxqe.com/data/132/19708950_0_1.png' alt='期货基础知识,真题章节,期货从业资格基础知识(远期合约)' title='期货基础知识,真题章节,期货从业资格基础知识(远期合约)'>
- C.<img src='http://tp.mxqe.com/data/132/19708950_0_2.png' alt='期货基础知识,真题章节,期货从业资格基础知识(远期合约)' title='期货基础知识,真题章节,期货从业资格基础知识(远期合约)'>
- D.<img src='http://tp.mxqe.com/data/132/19708950_0_3.png' alt='期货基础知识,真题章节,期货从业资格基础知识(远期合约)' title='期货基础知识,真题章节,期货从业资格基础知识(远期合约)'>
正确答案及解析
正确答案
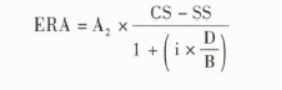
D
解析
合约规模为1000万美元。


你可能感兴趣的试题
(2022年7月真题)某期货公司财务部工作人员任某挪用客户300万元期货保证金,为其父亲进行股票交易,获利30万元。随后将挪用的300万元期货保证金返还,下列关于任某挪用期货保证金的刑事责任的表述,正确的是()。
-
- A.任某挪用保证金的行为属职务行为,构成单位犯罪
- B.任某挪用保证金的行为不构成犯罪,如挪用本单位资金则构成犯罪
- C.任某挪用保证金的行为属个人行为,独立承担刑事责任
- D.鉴于任某将所挪用的保证金予以返还,任某不承担刑事责任
- 查看答案
(2022年7月真题)甲是某期货公司客户,持有小麦期货多头合约。甲向期货公司申请交割,但期货公司因疏忽未代甲提交交割申请。如果因未能按计划交割,造成甲一定损失,则甲可以()。
-
- A.要求期货交易所对期货公司承担担保责任
- B.要求期货交易所承担违约责任
- C.要求期货公司承担侵权责任
- D.要求期货公司承担违约责任
- 查看答案
(2022年7月真题)王某曾在甲期货公司从事过期货交易,后来,经人介绍,王某有到乙期货公司开户,经办人员向王某出示期货交易风险说明书,但未由其签字确认。三个月后,王某在乙期货公司从事期货交易累计亏损20万元,下列关于王某亏损责任的表述,正确的是()。
-
- A.由乙期货公司承担
- B.由王某承担
- C.由签订期货经纪合同的经办人员承担
- D.由介绍人承担,因为介绍人从期货公司获得介绍费
- 查看答案
(2022年7月真题)内幕信息的泄露人员未实际从事内幕交易的,其罚金数额按照因泄露而获悉内幕信息人员从事内幕交易的违法所得计算。
- 查看答案
(2022年7月真题)实行会员分级结算制度的期货交易所的结算会员为债务人的,债权人可以请求人民法院冻结、划拨的资金或者有价证券有()。
-
- A.结算会员自有账户中的资金
- B.非结算会员向结算会员提交的用于充抵保证金的有价证券
- C.属于结算会员自有的有价证券
- D.非结算会员在结算会员保证金账户中的资金
- 查看答案