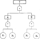
某起高处坠落事故事故树分析如图所示,T代表高处坠落事故,A代表安全带未起作用,B代表脚手架栏杆缺失,X1为安全带功能损坏,X2为安全带未高挂低用,X3为安全措施费用不到位,X4为脚手架栏杆强度不足,可能导致该起事故原因有( )。

正确答案及解析
正确答案
A、B、D、E
解析
A、B两个因素必须同时发生就可以导致事故;X1,X2两个因素之一发生,就可以导致A发生;X3,X4两个因素之一发生,就可以导致B发生。所以导致事故发生原因有可能是:X1X3;X1X4;X2X3;X2 X4.
你可能感兴趣的试题
某化工厂发生氯气泄漏,造成2人死亡,108人急性中毒,依据《生产安全事故报告和调查处理条例》,该事故的等级为()。
-
- A.一般事故
- B.较大事故
- C.重大事故
- D.特别重大事故
- 查看答案
根据《建筑法》在建的建筑工程因故中止施工的,建设单位应当自中止施工之日起( )内,向施工许可证发证机关报告。
-
- A.10日
- B.15日
- C.1个月
- D.2个月
- 查看答案
依据《安全生产法》的规定,下列生产经营规模较大的公司中,应当建立应急救援组织的是()。
-
- A.食品加工公司
- B.建筑施工公司
- C.钟表制造公司
- D.服装加工公司
- 查看答案
根据《建筑法》,关于施工许可的说法,正确的是( )。
-
- A.建设单位应当自领取施工许可证之日起1个月内开工
- B.建设单位领取施工许可证时,应当有保证质量和安全的具体措施
- C.中止施工满3年的工程恢复施工前,建设单位应当报发证机关核验施工许可证
- D.建筑工程开工前,建设单位应当按照国家有关规定向工程所在地市级以上人民政府建设主管部门申请施工许可证
- 查看答案
根据《建筑法》实施施工总承包的工程,由( )负责施工现场安全。
-
- A.总承包单位
- B.具体施工的分包单位
- C.总承包单位的项目经理
- D.分包单位的项目经理
- 查看答案