受扭实心等直圆轴,当直径增大一倍时,其最大剪应力τ2max和两端相对扭转角
与原来的τ1max和
的比值为()。
- A.τ2max:τ1max=1:2,<img src='http://tp.mxqe.com/data/190/2459809_0_2.jpg' alt='基础知识,章节练习,土木基础知识' title='基础知识,章节练习,土木基础知识'>:<img src='http://tp.mxqe.com/data/190/2459809_0_3.jpg' alt='基础知识,章节练习,土木基础知识' title='基础知识,章节练习,土木基础知识'>=1:4
- B.τ2max:τ1max=1:4,<img src='http://tp.mxqe.com/data/190/2459809_0_4.jpg' alt='基础知识,章节练习,土木基础知识' title='基础知识,章节练习,土木基础知识'>:<img src='http://tp.mxqe.com/data/190/2459809_0_5.jpg' alt='基础知识,章节练习,土木基础知识' title='基础知识,章节练习,土木基础知识'>=1:8
- C.τ2max:τ1max=1:8,<img src='http://tp.mxqe.com/data/190/2459809_0_6.jpg' alt='基础知识,章节练习,土木基础知识' title='基础知识,章节练习,土木基础知识'>:<img src='http://tp.mxqe.com/data/190/2459809_0_7.jpg' alt='基础知识,章节练习,土木基础知识' title='基础知识,章节练习,土木基础知识'>=1:16
- D.τ2max:τ1max=1:4,<img src='http://tp.mxqe.com/data/190/2459809_0_8.jpg' alt='基础知识,章节练习,土木基础知识' title='基础知识,章节练习,土木基础知识'>:<img src='http://tp.mxqe.com/data/190/2459809_0_9.jpg' alt='基础知识,章节练习,土木基础知识' title='基础知识,章节练习,土木基础知识'>=1:16
正确答案及解析
正确答案
C
解析
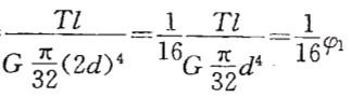
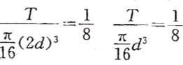
提示:τ2max=
τ1max
=



