题目详情

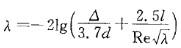
计算阻力系数的柯列布洛克(Coiebrook)公式岩土基础知识,章节练习,岩土基础知识,一般认为适用于什么区?

  • A.仅适用于层流区
  • B.仅适用于光滑区
  • C.仅适用于过渡区
  • D.紊流光滑区、过渡区、粗糖区均近似可用

正确答案及解析

正确答案
D
解析

提示:参见工业粗糙管一节。

你可能感兴趣的试题

单选题

TCP/IP协议是Internet中计算机之间通信所必须共同遵循的一种:

  • A.信息资源
  • B.通信规定
  • C.软件
  • D.硬件
查看答案
单选题

IP地址能唯一地确定Internet上每台计算机与每个用户的:

  • A.距离
  • B.费用
  • C.位置
  • D.时间
查看答案
单选题

岩土基础知识,章节练习,岩土基础知识预测岩土基础知识,章节练习,岩土基础知识预测

  • A.见图A
  • B.见图B
  • C.见图C
  • D.见图D
查看答案
单选题

岩土基础知识,章节练习,岩土基础知识预测

  • A.33.35
  • B.42.7
  • C.66.7
  • D.77.25
查看答案
单选题

岩土基础知识,章节练习,岩土基础知识预测

  • A.增加1倍
  • B.为原来的4倍
  • C.为原来的1/4
  • D.为原来的1/2
查看答案

相关题库更多 +