结构受力如图所示。若用N1,、N2、N3和匕
分别代表杆①、②、③的轴力和伸长,用表示点A的水平位移和竖直位移,则下列结论中正确的是:


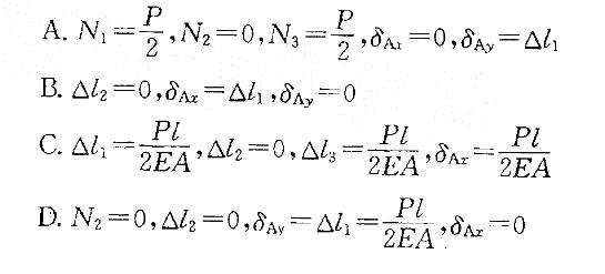
- A.见图A
- B.见图B
- C.见图C
- D.见图D
正确答案及解析
正确答案
C
解析
提示:由AB杆的受力分析可知,N1=
,N2=0,N3=
;再用胡克定律可求出
=
,
=0,
=
;由于A点受力变形后依然要连接杆①和杆②,故可用切线代替圆弧的办法求出A的水平位移。
结构受力如图所示。若用N1,、N2、N3和匕
分别代表杆①、②、③的轴力和伸长,用表示点A的水平位移和竖直位移,则下列结论中正确的是:


提示:由AB杆的受力分析可知,N1=
,N2=0,N3=
;再用胡克定律可求出
=
,
=0,
=
;由于A点受力变形后依然要连接杆①和杆②,故可用切线代替圆弧的办法求出A的水平位移。