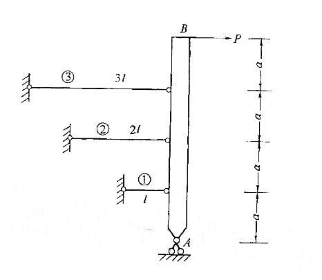
结构受力如图所示,各杆EA相同。若以N1、N2、N3和
别表示杆①、 ②、③的轴力和纵向线应变,则下列结论中正确的是:


- A.见图A
- B.见图B
- C.见图C
- D.见图D
正确答案及解析
正确答案
A
解析
提示:应用几何变形协调条件
和物理方程
可知N1=N2=N3;又根据胡克定律
,可知
。
结构受力如图所示,各杆EA相同。若以N1、N2、N3和
别表示杆①、 ②、③的轴力和纵向线应变,则下列结论中正确的是:


提示:应用几何变形协调条件
和物理方程
可知N1=N2=N3;又根据胡克定律
,可知
。