题目详情

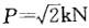
图示力P作用在BC杆的中点,且垂直BC杆。若岩土基础知识,章节练习,岩土基础知识,杆重不计。则杆AB内力S的大小为:

岩土基础知识,章节练习,岩土基础知识

  • A.1kN
  • B.0.5kN
  • C.1.414kN
  • D.2kN

正确答案及解析

正确答案
B
解析

提示:研究整体,由方程∑mA = 0,求出FBy;再研究BC (包括C、B铰),由方程∑mc=0可得。

你可能感兴趣的试题

单选题

TCP/IP协议是Internet中计算机之间通信所必须共同遵循的一种:

  • A.信息资源
  • B.通信规定
  • C.软件
  • D.硬件
查看答案
单选题

岩土基础知识,章节练习,岩土基础知识预测岩土基础知识,章节练习,岩土基础知识预测

  • A.见图A
  • B.见图B
  • C.见图C
  • D.见图D
查看答案
单选题

岩土基础知识,章节练习,岩土基础知识预测

  • A.33.35
  • B.42.7
  • C.66.7
  • D.77.25
查看答案
单选题

岩土基础知识,章节练习,岩土基础知识预测

  • A.增加1倍
  • B.为原来的4倍
  • C.为原来的1/4
  • D.为原来的1/2
查看答案
单选题

岩土基础知识,章节练习,岩土基础知识预测

  • A.见图A
  • B.见图B
  • C.见图C
  • D.见图D
查看答案

相关题库更多 +