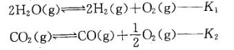
已知在相同条件下,下列反应的平衡常数为

则K3与K2、K1的关系为:

- A.见图A
- B.见图B
- C.见图C
- D.见图D
正确答案及解析
正确答案
B
解析
提示:当n个反应相加(或相减)得总反应时,总反应的平衡常数等于各个反应平衡常数的乘积(或商)。
你可能感兴趣的试题
TCP/IP协议是Internet中计算机之间通信所必须共同遵循的一种:
-
- A.信息资源
- B.通信规定
- C.软件
- D.硬件
- 查看答案
根据《建筑桩基技术规范》(JGJ 94—2008),对于桩身周围有液化土层的低桩承台,下列关于液化土层对单桩极限承载力影响的分析中,正确的是( )。

-
- A.见图A
- B.见图B
- C.见图C
- D.见图D
- 查看答案
已知矩形基础底面的压力分布为三角形,最大边缘压力为pmax,最小边缘压力为零,基础的宽度为B,长度为L,基础底面积为A,抵抗矩为W,传至基础底面的竖向力为N。下列表述中符合上述基础底面压力分布特征的为( )。

-
- A.见图A
- B.见图B
- C.见图C
- D.见图D
- 查看答案

-
- A.见图A
- B.见图B
- C.见图C
- D.见图D
- 查看答案


-
- A.见图A
- B.见图B
- C.见图C
- D.见图D
- 查看答案