题目详情

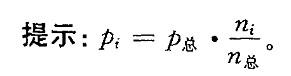
某容器中含氨0. 32mol、氧0.18mol、氮0. 70mol,总压强为100kPa时,氨、氧、氮的分压强分别为:

  • A.(15、27、58)X103Pa
  • B.(10、30、60)X103Pa
  • C.(25、20、55)X103Pa

正确答案及解析

正确答案
C
解析

基础知识,章节练习,土木基础知识

你可能感兴趣的试题

单选题

TCP/IP协议是Internet中计算机之间通信所必须共同遵循的一种:

  • A.信息资源
  • B.通信规定
  • C.软件
  • D.硬件
查看答案
单选题

IP地址能唯一地确定Internet上每台计算机与每个用户的:

  • A.距离
  • B.费用
  • C.位置
  • D.时间
查看答案
单选题

岩土基础知识,点睛提分卷,2023年注册岩土工程师《公共基础考试》点睛提分卷1

岩土基础知识,点睛提分卷,2023年注册岩土工程师《公共基础考试》点睛提分卷1

  • A.见图A
  • B.见图B
  • C.见图C
  • D.见图D
查看答案
单选题

岩土基础知识,点睛提分卷,2023年注册岩土工程师《公共基础考试》点睛提分卷1

岩土基础知识,点睛提分卷,2023年注册岩土工程师《公共基础考试》点睛提分卷1

  • A.见图A
  • B.见图B
  • C.见图C
  • D.见图D
查看答案
单选题

岩土基础知识,点睛提分卷,2023年注册岩土工程师《公共基础考试》点睛提分卷1

岩土基础知识,点睛提分卷,2023年注册岩土工程师《公共基础考试》点睛提分卷1

  • A.见图A
  • B.见图B
  • C.见图C
  • D.见图D
查看答案

相关题库更多 +