某建筑位于8度设防区,勘察揭露的地层条件如图所示。拟采用钻孔灌注桩桩筏基础,筏板底埋深2.0m。设计桩径为800mm,要求单桩竖向抗压承载力特征值不低于950kN,下列哪个选项是符合《建筑桩基技术规范》(JGJ 94—2008)相关要求的合理设计桩长?( )

- A.16.0m
- B.17.5m
- C.18.5m
- D.19.5m
正确答案及解析
正确答案
C
解析
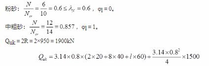
根据《建筑桩基技术规范》(JGJ 94—2008)第3.3.3条、第5.2.2条、第5.3.5条、第5.3.12条。

解得:l=1.61m。
根据第3.3.3条第5款,当存在软弱下卧层时,桩端以下硬持力层厚度不宜小于3d=2.4m。
总长:l总=2+6+8+(5.5-2.4)=19.1m,选较小值方能满足要求,故选择C项。
包含此试题的试卷
你可能感兴趣的试题
TCP/IP协议是Internet中计算机之间通信所必须共同遵循的一种:
-
- A.信息资源
- B.通信规定
- C.软件
- D.硬件
- 查看答案
构成岩质边坡变形与破坏的边界条件的是( )。
-
- A.岩体变形特征
- B.岩体中原始应力状态
- C.岩体结构特征
- D.坡形
- 查看答案
在加筋土边坡中,筋材的锚固长度计算时涉及以下哪一项指标?( )
-
- A.抗压强度
- B.握持强度
- C.撕裂强度
- D.抗拔摩擦系数
- 查看答案
强夯法的夯锤上往往会开几个小孔,开孔的目的是( )。
-
- A.降低噪音
- B.减小对附近建筑物的振动
- C.用于排气,减少气垫效应
- D.便于运输和起吊
- 查看答案
对拉拔桩,下面哪种情况对桩基总的拉拔力有利?( )
-
- A.在桩基附近开挖
- B.混凝土用量不变,增大桩径,减少桩的数量
- C.混凝土用量不变,增大桩径,减少桩长
- D.桩基施工完成后在桩周注浆
- 查看答案