题目详情

某微型桩复合地基,拟进行多桩复合地基静载试验,微型桩桩径200mm,桩距0.6m,正三角形布桩。试问三桩复合地基载荷试验的圆形承压板直径应取下列哪项?( )

  • A.1.0m
  • B.1.1m
  • C.1.2m
  • D.1.3m

正确答案及解析

正确答案
B
解析

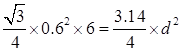
根据《建筑地基处理技术规范》(JGJ 79—2012)第7.1.5条规定,正三角形范围内有3个1/6桩,3桩可处理6个正三角形的面积,则可得:岩土专业知识,历年真题,2021年上午土木工程师岩土专业知识真题,解得:d=1.1m。

包含此试题的试卷

你可能感兴趣的试题

单选题

TCP/IP协议是Internet中计算机之间通信所必须共同遵循的一种:

  • A.信息资源
  • B.通信规定
  • C.软件
  • D.硬件
查看答案
单选题

构成岩质边坡变形与破坏的边界条件的是(  )。

  • A.岩体变形特征
  • B.岩体中原始应力状态
  • C.岩体结构特征
  • D.坡形
查看答案
单选题

在加筋土边坡中,筋材的锚固长度计算时涉及以下哪一项指标?(  )

  • A.抗压强度
  • B.握持强度
  • C.撕裂强度
  • D.抗拔摩擦系数
查看答案
单选题

强夯法的夯锤上往往会开几个小孔,开孔的目的是(  )。

  • A.降低噪音
  • B.减小对附近建筑物的振动
  • C.用于排气,减少气垫效应
  • D.便于运输和起吊
查看答案
单选题

对拉拔桩,下面哪种情况对桩基总的拉拔力有利?(  )

  • A.在桩基附近开挖
  • B.混凝土用量不变,增大桩径,减少桩的数量
  • C.混凝土用量不变,增大桩径,减少桩长
  • D.桩基施工完成后在桩周注浆
查看答案

相关题库更多 +