题目详情

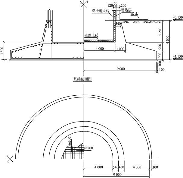
某钢筋混凝土圆形烟囱基础设计尺寸,如图1所示。其中基础垫层采用C15混凝土,圆形满堂基础采用C30混凝土,地基土壤类别为三类土。土方开挖底部施工所需的工作面宽度为300mm,放坡系数为1∶0.33,放坡自垫层上表面计算。

土建建设工程计量与计价实务,章节练习,基础复习,章节基础

图1 烟囱基础平面图(计算结果保留两位小数)

【问题】

1.根据上述条件,按《建设工程工程量清单计价规范》(GB 50500—2013)的计算规则,根据表1中的数据,在表1“工程量计算表”中,列式计算该烟囱基础的平整场地、挖基础土方、垫层和混凝土基础工程量。

平整场地工程量按满堂基础底面积乘2.0系数计算,圆台体体积计算公式为:

土建建设工程计量与计价实务,章节练习,基础复习,章节基础

2.根据工程所在地相关部门发布的现行挖、运土方预算单价,见表2“挖、运土方预算单价表”。施工方案规定,土方按90%机械开挖、10%人工开挖,用于回填的土方在20m内就近堆存,余土运往5000m范围内指定地点堆放。相关工程的企业管理费按工程直接费的7%计算,利润按工程直接费的6%计算。编制挖基础土方(清单编码为010101003)的清单综合单价,填入表3“工程量清单综合单价分析表”。(单位:m3)

表2 挖、运土方预算单价表

土建建设工程计量与计价实务,章节练习,基础复习,章节基础

3.利用第1、2问题的计算结果和以下相关数据,在表4“分部分项工程量清单与计价表”中,编制该烟囱基础分部分项工程量清单与计价表。

已知相关数据为:

①平整场地,编码010101001,综合单价1.26元/m2;

②挖基础土方,编码010101003;

③土方回填,人工分层夯填,编码010103001,综合单价15.00元/m3;

④C15混凝土垫层,编码010401006,综合单价460.00元/m3;

⑤C30混凝土满堂基础,编码010401003,综合单价520.00元/m3。

(计算结果保留两位小数)

正确答案及解析

正确答案
解析

1.计算烟囱基础的平整场地、挖基础土方、垫层和混凝土基础工程量,如表1所示。

表1 工程量计算表

土建建设工程计量与计价实务,章节练习,基础复习,章节基础

2.①挖土方定额工程量:

基坑底半径:9+0.1+0.3=9.4(m)。

基坑顶半径:9.4+0.33×(4.150-0.150)=10.72(m)。

定额工程量:3.14×9.42×0.1+(4.150-0.150)×3.14×(9.42+10.722+9.4×10.72)×1/3≈1300.69(m3)。

②回填方定额工程量:1300.69-26.00-(228.906+142.242+157.2988)≈746.24(m3)。

③运土定额工程量:1300.69-746.24=554.45(m3)。

④定额1-7人工挖土的清单单位含量:1300.69×10%÷1066.10≈0.12。

⑤定额1-162机械挖、运土的清单单位含量:554.45÷1066.10≈0.52。

⑥定额1-148机械挖土的清单单位含量:(1300.69×90%-554.45)÷1066.10≈0.58。

编制工程量清单综合单价分析表,如表3所示。

表3 工程量清单综合单价分析表

土建建设工程计量与计价实务,章节练习,基础复习,章节基础

3.土方回填清单工程量:1066.10-26.00-(228.906+142.242+157.2988)≈511.65(m3)。

烟囱基础分部分项工程量清单与计价表,如表4所示。

表4 分部分项工程量清单与计价表

土建建设工程计量与计价实务,章节练习,基础复习,章节基础

你可能感兴趣的试题

单选题

根据《国务院关于投资体制改革的决定》实行备案制的项目是()。

  • A.政府直接投资的项目
  • B.采用资金注入方式的政府投资项目
  • C.政府核准的投资项目目录外的企业投资项目
  • D.政府核准的投资项目目录内的企业投资项目
查看答案
单选题

根据《国务院关于投资体制改革的决定》,对于采用直接投资和资本金注入方式的政府投资项目,除特殊情况外,政府部门不再审批()。

  • A.开工报告
  • B.初步设计
  • C.工程概算
  • D.可行性研究报告
查看答案
单选题

在下列情形中,不构成缔约过失责任的是()。

  • A.假借订立合同,恶意进行磋商
  • B.故意隐瞒与订立合同有关的重要事实或者提供虚假情况
  • C.有其他违背诚实信用原则的行为
  • D.当事人在履行合同中没有全面地履行合同的内容
查看答案
多选题

根据《民法典》,下列各类合同中,属于无效合同的有()。

  • A.恶意串通损害第三人利益的合同
  • B.一方以欺诈手段订立的合同
  • C.一方乘人之危订立的合同
  • D.损害社会公共利益的合同
  • E.订立合同时显失公平的合同
查看答案
单选题

根据《建筑工程施工质量验收统一标准》 , 下列工程中, 属于分项工程的是( ) 。

  • A.计算机机房工程
  • B.轻钢结构工程
  • C.土方开挖工程
  • D.外墙防水工程
查看答案

相关题库更多 +