采用现场测定法,测得某种建筑材料在正常施工条件下的单位消耗量为12.47kg,损耗量为0.65kg,则该材料的损耗率为( )。
- A.4.95%
- B.5.21%
- C.5.45%
- D.5.50%
正确答案及解析
正确答案
D
解析
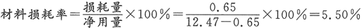
材料损耗率的计算过程如下:

你可能感兴趣的试题
根据《建筑工程施工质量验收统一标准》 , 下列工程中, 属于分项工程的是( ) 。
-
- A.计算机机房工程
- B.轻钢结构工程
- C.土方开挖工程
- D.外墙防水工程
- 查看答案
根据《建筑工程施工质量验收统一验收标准》,下列工程中,属于分项工程的是()。
-
- A.电气工程
- B.钢筋工程
- C.屋面工程
- D.外墙防水工程
- 查看答案
在下列情形中,不构成缔约过失责任的是()。
-
- A.假借订立合同,恶意进行磋商
- B.故意隐瞒与订立合同有关的重要事实或者提供虚假情况
- C.有其他违背诚实信用原则的行为
- D.当事人在履行合同中没有全面地履行合同的内容
- 查看答案
根据《建设工程质量管理条例》, 在正常使用条件下, 供热与供冷系统的最低保修期限是( ) 个采暖期、 供冷期。
-
- A.1
- B.2
- C.3
- D.4
- 查看答案
根据《国务院关于投资体制改革的决定》实行备案制的项目是()。
-
- A.政府直接投资的项目
- B.采用资金注入方式的政府投资项目
- C.政府核准的投资项目目录外的企业投资项目
- D.政府核准的投资项目目录内的企业投资项目
- 查看答案