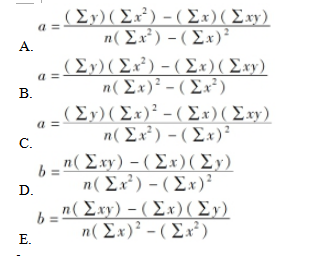
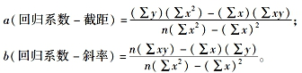
采用一元线性回归法进行旅游需求预测时,假设方程为Y′=a+bx,其回归系数的计算公式是( )

正确答案及解析
正确答案
A、D
解析
采用一元线性回归法进行旅游需求预测时,假设方程为Y′=a+bx,其回归系数的计算公式为:

你可能感兴趣的试题
下列关于工程监理单位和监理人员职责的表述中,正确的是()。
-
- A.工程监理人员认为工程施工不符合工程设计要求、施工技术标准和合同约定的,有权要求施工企业整改
- B.工程监理人员发现工程设计不符合建筑工程质量标准或者合同约定的质量要求的,有权要求设计单位改正
- C.未经总监理工程师签字,建筑材料、建筑构配件和设备不得在工程上使用或安装
- D.工程监理单位在实施监理过程中,发现存在安全事故隐患且情况严重的,应当及时向有关主管部门报告
- 查看答案
下列选项中,项目监理机构可设置总监理工程师代表的情形有( )。
-
- A.工程规模较大,专业较复杂,总监理工程师难以处理多个专业工程
- B.一个建设工程监理合同中包含多个相对独立的施工合同
- C.工程规模比较大,工期比较长
- D.工程规模较大,地域比较分散
- E.工程规模比较小,技术要求比较高
- 查看答案
下列关于影响商品需求弹性因素的说法,正确的有( )。
-
- A.一般来说,生活必需的产品需求弹性较大
- B.一般来说,商品的用途越多,需求弹性就越大
- C.一种商品若有许多相近的替代品,这种商品的需求价格弹性大
- D.时间越短,商品的需求弹性越缺乏
- E.投入品替代性越大,商品的需求弹性就越大
- 查看答案
需求价格弹性系数分为弧弹性和点弹性,弧弹性适用于( )。
-
- A.价格和需求量变动较大的场合
- B.价格和需求量变动较小的场合
- C.价格和供给量变动较大的场合
- D.价格和供给量变动较小的场合
- 查看答案
关于均衡价格的形成和变动,下列表述错误的是( )。
-
- A.供给曲线与需求曲线相交时的市场价格为均衡价格,对应的数量为均衡数量
- B.均衡价格是市场供给力量和需求力量相互抵消时所达到的价格水平
- C.市场供给和需求受一系列因素的影响,每个因素的变化都可能引起供求关系的变化,而供求关系的变化又会引起价格的变化
- D.实际经济生活中,任何市场上的供求都是一直平衡的
- 查看答案