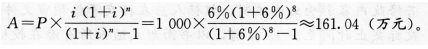
(2020年真题)某项目期初投资1000万元,年利率为6%,预计8年后全部回收,则每年的净收益应为( )万元。
- A.161.04
- B.159.38
- C.157.06
- D.145.29
正确答案及解析
正确答案
A
解析
根据公式,?

你可能感兴趣的试题
下列关于工程监理单位和监理人员职责的表述中,正确的是()。
-
- A.工程监理人员认为工程施工不符合工程设计要求、施工技术标准和合同约定的,有权要求施工企业整改
- B.工程监理人员发现工程设计不符合建筑工程质量标准或者合同约定的质量要求的,有权要求设计单位改正
- C.未经总监理工程师签字,建筑材料、建筑构配件和设备不得在工程上使用或安装
- D.工程监理单位在实施监理过程中,发现存在安全事故隐患且情况严重的,应当及时向有关主管部门报告
- 查看答案
下列选项中,项目监理机构可设置总监理工程师代表的情形有( )。
-
- A.工程规模较大,专业较复杂,总监理工程师难以处理多个专业工程
- B.一个建设工程监理合同中包含多个相对独立的施工合同
- C.工程规模比较大,工期比较长
- D.工程规模较大,地域比较分散
- E.工程规模比较小,技术要求比较高
- 查看答案
直线制监理组织形式的主要特点是()。
-
- A.接受职能部门多头指挥、指令矛盾时,将使直线指挥部门人员无所适从
- B.统一指挥、直线领导,但职能部门与指挥部门易产生矛盾
- C.具有较大的机动性和适应性,但纵横向协调工作量大
- D.组织机构简单、权力集中、命令统一、职责分明、隶属关系明确
- 查看答案
在建立项目监理机构的工作步骤中,最后需要完成的工作是()。
-
- A.制定工作流程和信息流程
- B.制定岗位职责和考核标准
- C.确定组织结构和组织形式
- D.安排监理人员和辅助人员
- 查看答案
政府为了保护农业生产者,对部分农业产品规定了保护价格。为了采取这种价格政策, 应采取相应的措施是( )。
-
- A.取消农业税
- B.对城镇居民实行粮食配给制
- C.当市场上出现农产品过剩时进行收购
- D.扩大农民家电消费
- 查看答案