题目详情

岩土基础知识,历年真题,2014年全国注册土木工程师(岩土)执业资格考试公共基础

岩土基础知识,历年真题,2014年全国注册土木工程师(岩土)执业资格考试公共基础

  • A.见图A
  • B.见图B
  • C.见图C
  • D.见图D

正确答案及解析

正确答案
A
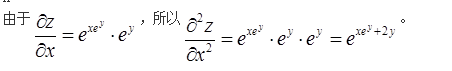
解析

岩土基础知识,历年真题,2014年全国注册土木工程师(岩土)执业资格考试公共基础

包含此试题的试卷

你可能感兴趣的试题

单选题

岩土基础知识,押题密卷,2022年(岩土)《公共基础考试》押题密卷1

岩土基础知识,押题密卷,2022年(岩土)《公共基础考试》押题密卷1

  • A.见图A
  • B.见图B
  • C.见图C
  • D.见图D
查看答案
单选题

电解CuCl2溶液时,用铜作电极,阳极的主要反应是( )。

  • A.2H++2e-=H2
  • B.Cu-2e-=
  • C.u2+C2Cl--2e-=Cl2
  • D.4OH--4e-=2H2O+O2
查看答案
单选题

岩土基础知识,押题密卷,2022年(岩土)《公共基础考试》押题密卷1

岩土基础知识,押题密卷,2022年(岩土)《公共基础考试》押题密卷1

  • A.见图A
  • B.见图B
  • C.见图C
  • D.见图D
查看答案
单选题

岩土基础知识,押题密卷,2022年(岩土)《公共基础考试》押题密卷1

  • A.π-2
  • B.π+2
  • C.π
  • D.π+1
查看答案
单选题

岩土基础知识,押题密卷,2022年(岩土)《公共基础考试》押题密卷1

岩土基础知识,押题密卷,2022年(岩土)《公共基础考试》押题密卷1

  • A.见图A
  • B.见图B
  • C.见图C
  • D.见图D
查看答案

相关题库更多 +