题目详情

岩土基础知识,历年真题,2013年全国注册土木工程师(岩土)执业资格考试公共基础

  • A.见图A
  • B.见图B
  • C.见图C
  • D.见图D

正确答案及解析

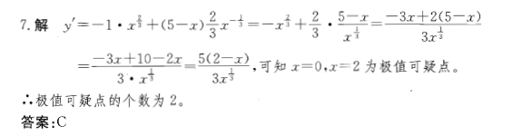
正确答案
C
解析

岩土基础知识,历年真题,2013年全国注册土木工程师(岩土)执业资格考试公共基础

包含此试题的试卷

你可能感兴趣的试题

单选题

TCP/IP协议是Internet中计算机之间通信所必须共同遵循的一种:

  • A.信息资源
  • B.通信规定
  • C.软件
  • D.硬件
查看答案
单选题

岩土基础知识,章节练习,岩土基础知识预测岩土基础知识,章节练习,岩土基础知识预测

  • A.见图A
  • B.见图B
  • C.见图C
  • D.见图D
查看答案
单选题

岩土基础知识,章节练习,岩土基础知识预测

  • A.33.35
  • B.42.7
  • C.66.7
  • D.77.25
查看答案
单选题

岩土基础知识,章节练习,岩土基础知识预测

  • A.增加1倍
  • B.为原来的4倍
  • C.为原来的1/4
  • D.为原来的1/2
查看答案
单选题

岩土基础知识,章节练习,岩土基础知识预测

  • A.见图A
  • B.见图B
  • C.见图C
  • D.见图D
查看答案

相关题库更多 +