题目详情

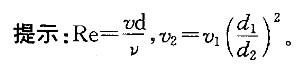
变直径圆管流,细断面直径d1,粗断面直径d2=2d1,粗细断面雷诺数的关系是:

  • A.Re1=0. 5Re2
  • B.Re1=Re2
  • C.Re1 =1. 5Re2
  • D.Re1 =2Re2

正确答案及解析

正确答案
D
解析

基础知识,章节练习,土木基础知识

包含此试题的试卷

你可能感兴趣的试题

单选题

TCP/IP协议是Internet中计算机之间通信所必须共同遵循的一种:

  • A.信息资源
  • B.通信规定
  • C.软件
  • D.硬件
查看答案
单选题

IP地址能唯一地确定Internet上每台计算机与每个用户的:

  • A.距离
  • B.费用
  • C.位置
  • D.时间
查看答案
单选题

岩土基础知识,章节练习,岩土基础知识预测岩土基础知识,章节练习,岩土基础知识预测

  • A.见图A
  • B.见图B
  • C.见图C
  • D.见图D
查看答案
单选题

岩土基础知识,章节练习,岩土基础知识预测

  • A.33.35
  • B.42.7
  • C.66.7
  • D.77.25
查看答案
单选题

岩土基础知识,章节练习,岩土基础知识预测

  • A.增加1倍
  • B.为原来的4倍
  • C.为原来的1/4
  • D.为原来的1/2
查看答案

相关题库更多 +