题目详情

过点M(3,-2,1)且与直线L :岩土基础知识,历年真题,2005年全国注册土木工程师(岩土)执业资格考试公共基础平行的直线方程是:

岩土基础知识,历年真题,2005年全国注册土木工程师(岩土)执业资格考试公共基础

  • A.见图A
  • B.见图B
  • C.见图C
  • D.见图D

正确答案及解析

正确答案
D
解析

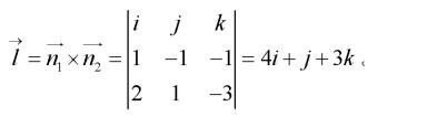
直线L是平面χ - y- z +1 = 0和平面2χ+ y - 3z + 4 = 0的交线,直线L的方向向量注册环保工程师公共基础,章节练习,注册环保工程师公共基础真题

包含此试题的试卷

你可能感兴趣的试题

单选题

TCP/IP协议是Internet中计算机之间通信所必须共同遵循的一种:

  • A.信息资源
  • B.通信规定
  • C.软件
  • D.硬件
查看答案
单选题

IP地址能唯一地确定Internet上每台计算机与每个用户的:

  • A.距离
  • B.费用
  • C.位置
  • D.时间
查看答案
单选题

岩土基础知识,章节练习,信号与信息基础

  • A.某非周期信号的幅值频谱
  • B.某周期信号的幅值频谱
  • C.某非周期信号的频谱
  • D.某周期信号的频谱
查看答案
单选题

岩土基础知识,章节练习,信号与信息基础

  • A.010110和22
  • B.011010和26
  • C.11010和26
  • D.10110和22
查看答案
单选题

岩土基础知识,章节练习,信号与信息基础

  • A.F=XY+y
  • B.F=y
  • C.F=XY+YZ+1,
  • D.<img src='http://tp.mxqe.com/data/190/13185756_0_1.jpg' alt='岩土基础知识,章节练习,信号与信息基础' title='岩土基础知识,章节练习,信号与信息基础'>
查看答案

相关题库更多 +