题目详情

(2021年真题)某公司生产单一的家电产品。责公司在综合分析各种因素的基础上,决定采用流水线的生产组织方式进行产品装配。该流水线采用两班制的生产模式。产品日生产量为198台,每班工作时间为8小时,工作时间有效利用系数为0.95.废品率为1%.在进行工序同期化后。利算该流水线的第2道工序所需设备数为2.94台,最终确定第2工序实际设备数为3台。

该流水线的平均节拍为( ) 分钟。

  • A.338
  • B.4.56
  • C.7.82
  • D.8.65

正确答案及解析

正确答案
B
解析

初级经济师工商管理,章节练习,初级工商管理1

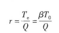
β=0.95;T0=2*8*60=960;Q=198/0.99=200,所以r=0.95*960/200=4.56

你可能感兴趣的试题

多选题

下列会计科目中,属于企业所有者权益的有( )。

  • A.资本公积
  • B.实收资本
  • C.短期投资
  • D.盈余公积
  • E.未分配利润
查看答案
多选题

关于原始凭证的填制要求,正确的有( )。

  • A.书写要清楚规范
  • B.填制要及时
  • C.编号要连续
  • D.记录要真实
  • E.格式要统一
查看答案
单选题

按用途分类,管理费用明细账属于( )。

  • A.序时账簿
  • B.分类账簿
  • C.备查账簿
  • D.订本账簿
查看答案
单选题

国债依存度是指()

  • A.政府历年发行公债尚未偿还的累计余额与当年国内生产总值的比率
  • B.当年国债发行规模与当年财政支出的比率
  • C.当年到期还本付息的国债总额与当年财政收入的比率
  • D.当年国债利息与当年财政收入的比率
查看答案
单选题

通过调查大庆油田、胜利油田、辽河油田了解我国石油生产的基本情况,这种调查方式是()

  • A.典型调查
  • B.重点调查
  • C.抽样调查
  • D.普查
查看答案

相关题库更多 +