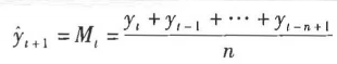
(2017年真题)为了掌握市场信息,有效安排生产运营,某糖果生产企业进行了市场调查和市场预测活动。企业市场调查人员采用非随机抽样的方法,选取部分顾客进行问卷调查。在充分说明填写要求后,调查人员请被调查顾客自行填写调查问卷,一周后回收问卷。同时,企业还收集了内部和外部的历史资料和文献信息,对消费者的购买行为进行分析。该企业2011~2016年糖果销售额见下表。(单位:万元)

若采用简单移动平均法预测(选择移动跨越期n=5),该企业2017年的销售额预测值是( )万元。
- A.2180
- B.2220
- C.2350
- D.2400
正确答案及解析
正确答案
B
解析
=(2350+2300+2300+1900+2250)/5=2220
你可能感兴趣的试题
下列会计科目中,属于企业所有者权益的有( )。
-
- A.资本公积
- B.实收资本
- C.短期投资
- D.盈余公积
- E.未分配利润
- 查看答案
关于原始凭证的填制要求,正确的有( )。
-
- A.书写要清楚规范
- B.填制要及时
- C.编号要连续
- D.记录要真实
- E.格式要统一
- 查看答案
按用途分类,管理费用明细账属于( )。
-
- A.序时账簿
- B.分类账簿
- C.备查账簿
- D.订本账簿
- 查看答案
国债依存度是指()
-
- A.政府历年发行公债尚未偿还的累计余额与当年国内生产总值的比率
- B.当年国债发行规模与当年财政支出的比率
- C.当年到期还本付息的国债总额与当年财政收入的比率
- D.当年国债利息与当年财政收入的比率
- 查看答案
通过调查大庆油田、胜利油田、辽河油田了解我国石油生产的基本情况,这种调查方式是()
-
- A.典型调查
- B.重点调查
- C.抽样调查
- D.普查
- 查看答案