(2021年真题)某设备的原始价值为160000元,每年低劣化增加值为5000元,在不考虑残值的情况下,该设备的最佳更新年限为( )
- A.9
- B.6
- C.8
- D.7
正确答案及解析
正确答案
C
解析
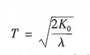
计算公式为:

K0=160000,λ=5000
你可能感兴趣的试题
确立保险利益原则的意义在于( )。
-
- A.从本质上划清保险与赌博的界限
- B.防止保险事故的发生
- C.防止道德风险的发生
- D.限制保险补偿的程度
- E.预防客观风险的发生
- 查看答案
被保险人违反协助义务等和被保险人放弃对第三者的求偿权,应承担一定的法律责任,但被保险人的责任应以过错为构成要件,过错包括( )。
-
- A.重大过失
- B.故意
- C.大意
- D.疏忽
- E.懈怠
- 查看答案
最大诚信原则的具体内容包括( )。
-
- A.信用
- B.弃权与禁止反言
- C.诚实
- D.保证
- E.告知
- 查看答案
在被保险人重复保险的情况下,需采用( )进行理赔。
-
- A.分摊原则
- B.最大诚信原则
- C.近因原则
- D.代位求偿原则
- 查看答案
关于保险利益的说法,错误的是( )。
-
- A.保险利益是指投保人或者被保险人对保险标的具有的法律上承认的利益
- B.保险经营中确立保险利益原则可以减少道德风险的发生
- C.订立财产保险合同时,投保人或被保险人对保险标的必须具有保险利益
- D.订立人身保险合同时,投保人对被保险人必须具有保险利益
- 查看答案