挖掘机每小时循环70次,单斗容量12m3,时间利用系数0.8,满斗系数0.9,土的密实系数1.2。则生产率为( )m3/h。[2019年回忆版]
- A.510
- B.504
- C.515
- D.500
正确答案及解析
正确答案
B
解析
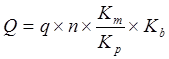
挖掘机的生产率计算公式为:

式中,Q为生产率(m3/h);q为铲斗的几何斗容量(m3);n为工作循环次数(次/h);Km为铲斗的装满系数;Kp为土壤的松散系数;Kb为时间利用系数,一般取0.7~0.85。
本题中,Q=q×n×Km/Kp×Kb=12×70×0.9/1.2×0.8=504m3/h。
包含此试题的试卷
你可能感兴趣的试题
建设工程项目采用Partnering模式的特点有( )。
-
- A.Partnering 协议是工程建设参与各方共同签署的协议
- B.Partnering 协议是工程合同文件的组成部分
- C.Partnering 模式需要工程建设参与各方高层管理者的参与
- D.Partnering 模式强调资源共享和风险分担
- E.Partnering 模式可以独立于其他承包模式而存在
- 查看答案
下列项目开工建设准备工作中,在办理工程质量监督手续之后才能进行的工作是()。
-
- A.办理施工许可证
- B.编制施工组织设计
- C.编制监理规划
- D.审查施工图设计文件
- 查看答案
建设工程施工许可证应当由()申请领取。
-
- A.施工单位
- B.设计单位
- C.监理单位
- D.建设单位
- 查看答案
下列工程中,属于分部工程的是( )
-
- A.既有工厂的车间扩建工程
- B.工业车间的设备安装工程
- C.房屋建筑的装饰装修工程
- D.基础工程中的土方开挖工程
- 查看答案
根据《招标投标法实施条例》,依法必须进行招标的项目可以不进行招标的情形是()。
-
- A.受自然环境限制只有少量潜在投标人
- B.需要采用不可替代的专利或者专有技术
- C.招标费用占项目合同金额的比例过大
- D.因技术复杂只有少量潜在投标人
- 查看答案