题目详情

基础知识,历年真题,2012土木工程师(水利水电)公共基础真题

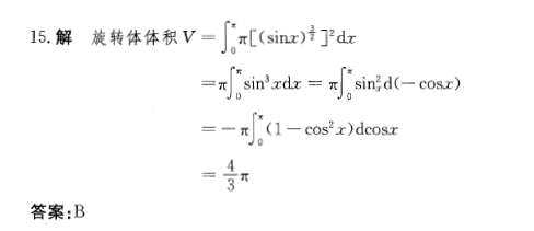
  • A.见图A
  • B.见图B
  • C.见图C
  • D.见图D

正确答案及解析

正确答案
B
解析

基础知识,历年真题,2012土木工程师(水利水电)公共基础真题

包含此试题的试卷

你可能感兴趣的试题

单选题

基础知识,章节练习,强化,化学

  • A.<img src='http://tp.mxqe.com/data/736/13573975_0_1.jpg' alt='基础知识,章节练习,强化,化学' title='基础知识,章节练习,强化,化学'>
  • B.<img src='http://tp.mxqe.com/data/736/13573975_0_2.jpg' alt='基础知识,章节练习,强化,化学' title='基础知识,章节练习,强化,化学'>
  • C.<img src='http://tp.mxqe.com/data/736/13573975_0_3.jpg' alt='基础知识,章节练习,强化,化学' title='基础知识,章节练习,强化,化学'>
  • D.<img src='http://tp.mxqe.com/data/736/13573975_0_4.jpg' alt='基础知识,章节练习,强化,化学' title='基础知识,章节练习,强化,化学'>
查看答案
单选题

基础知识,章节练习,强化,化学

  • A.溶液的pH值降低
  • B.Ka,HAc增加
  • C.溶液的pH值升高
  • D.Ka,HAc减小
查看答案
单选题

基础知识,章节练习,强化,化学

  • A.2.38
  • B.5.06
  • C.4.75
  • D.5.25
查看答案
单选题

基础知识,章节练习,强化,化学

  • A.都相同
  • B.加蔗糖的低
  • C.加乙二酸的低
  • D.无法判断
查看答案
单选题

基础知识,章节练习,强化,化学

  • A.变大
  • B.变小
  • C.不变
  • D.不能确定
查看答案

相关题库更多 +