题目详情

基础知识,真题专项训练,工程科学基础

  • A.锥面
  • B.单叶双曲面
  • C.双叶双曲面
  • D.椭圆抛物面

正确答案及解析

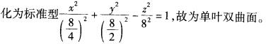
正确答案
B
解析

基础知识,真题专项训练,工程科学基础

你可能感兴趣的试题

单选题

专业知识,章节练习,水利水电专业知识押题

  • A.0.005
  • B.0.025
  • C.0.05
  • D.0.5
查看答案
单选题

专业知识,章节练习,水利水电专业知识押题

  • A.大(1)型Ⅰ等工程
  • B.大(2)型Ⅱ等工程
  • C.中型Ⅲ等工程
  • D.小(1)型Ⅳ等工程
查看答案
单选题

专业知识,章节练习,水利水电专业知识押题

  • A.1.31
  • B.1.62
  • C.13.15
  • D.16.2
查看答案
单选题

专业案例,章节练习,水利水电专业案例押题

  • A.3
  • B.4
  • C.5
  • D.6
查看答案
单选题

专业案例,章节练习,水利水电专业案例押题

  • A.180
  • B.185
  • C.190
  • D.195
查看答案

相关题库更多 +