题目详情

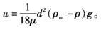
其他条件不变,满足Re小于1的条件,当水中球形颗粒的直径增大一倍时,颗粒的沉降速度( )。

  • A.保持不变
  • B.原值的2倍
  • C.原值的4倍
  • D.原值的8倍

正确答案及解析

正确答案
C
解析

专业基础知识(给排水),章节练习,水力学(给排水)

你可能感兴趣的试题

单选题

(暖通空调+动力)基础知识,章节练习,强化,信号与信息基础

  • A.某非周期信号的幅值频谱
  • B.某周期信号的幅值频谱
  • C.某非周期信号的频谱
  • D.某周期信号的频谱
查看答案
单选题

(暖通空调+动力)基础知识,章节练习,强化,信号与信息基础

  • A.010110和22
  • B.011010和26
  • C.11010和26
  • D.10110和22
查看答案
单选题

(暖通空调+动力)基础知识,章节练习,强化,信号与信息基础

  • A.F=XY+y
  • B.F=y
  • C.F=XY+YZ+1,
  • D.<img src='http://tp.mxqe.com/data/740/13581240_0_1.jpg' alt='(暖通空调+动力)基础知识,章节练习,强化,信号与信息基础' title='(暖通空调+动力)基础知识,章节练习,强化,信号与信息基础'>
查看答案
单选题

(暖通空调+动力)基础知识,章节练习,强化,信号与信息基础

  • A.<img src='http://tp.mxqe.com/data/740/13581239_0_1.jpg' alt='(暖通空调+动力)基础知识,章节练习,强化,信号与信息基础' title='(暖通空调+动力)基础知识,章节练习,强化,信号与信息基础'>
  • B.<img src='http://tp.mxqe.com/data/740/13581239_0_2.jpg' alt='(暖通空调+动力)基础知识,章节练习,强化,信号与信息基础' title='(暖通空调+动力)基础知识,章节练习,强化,信号与信息基础'>
  • C.<img src='http://tp.mxqe.com/data/740/13581239_0_3.jpg' alt='(暖通空调+动力)基础知识,章节练习,强化,信号与信息基础' title='(暖通空调+动力)基础知识,章节练习,强化,信号与信息基础'>
  • D.<img src='http://tp.mxqe.com/data/740/13581239_0_4.jpg' alt='(暖通空调+动力)基础知识,章节练习,强化,信号与信息基础' title='(暖通空调+动力)基础知识,章节练习,强化,信号与信息基础'>
查看答案
单选题

(暖通空调+动力)基础知识,章节练习,强化,信号与信息基础

  • A.<img src='http://tp.mxqe.com/data/740/13581238_0_1.jpg' alt='(暖通空调+动力)基础知识,章节练习,强化,信号与信息基础' title='(暖通空调+动力)基础知识,章节练习,强化,信号与信息基础'>
  • B.<img src='http://tp.mxqe.com/data/740/13581238_0_2.jpg' alt='(暖通空调+动力)基础知识,章节练习,强化,信号与信息基础' title='(暖通空调+动力)基础知识,章节练习,强化,信号与信息基础'>
  • C.<img src='http://tp.mxqe.com/data/740/13581238_0_3.jpg' alt='(暖通空调+动力)基础知识,章节练习,强化,信号与信息基础' title='(暖通空调+动力)基础知识,章节练习,强化,信号与信息基础'>
  • D.<img src='http://tp.mxqe.com/data/740/13581238_0_4.jpg' alt='(暖通空调+动力)基础知识,章节练习,强化,信号与信息基础' title='(暖通空调+动力)基础知识,章节练习,强化,信号与信息基础'>
查看答案

相关题库更多 +