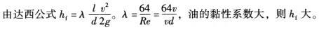
层流区其他都相同,一根管道里输送水,一根管道里输送油,沿程水头损失大小比较为前者( )后者。
- A.大于
- B.小于
- C.等于
- D.不确定
正确答案及解析
正确答案
B
解析

你可能感兴趣的试题

-
- A.某非周期信号的幅值频谱
- B.某周期信号的幅值频谱
- C.某非周期信号的频谱
- D.某周期信号的频谱
- 查看答案

-
- A.010110和22
- B.011010和26
- C.11010和26
- D.10110和22
- 查看答案

-
- A.F=XY+y
- B.F=y
- C.F=XY+YZ+1,
- D.<img src='http://tp.mxqe.com/data/740/13581240_0_1.jpg' alt='(暖通空调+动力)基础知识,章节练习,强化,信号与信息基础' title='(暖通空调+动力)基础知识,章节练习,强化,信号与信息基础'>
- 查看答案

-
- A.<img src='http://tp.mxqe.com/data/740/13581239_0_1.jpg' alt='(暖通空调+动力)基础知识,章节练习,强化,信号与信息基础' title='(暖通空调+动力)基础知识,章节练习,强化,信号与信息基础'>
- B.<img src='http://tp.mxqe.com/data/740/13581239_0_2.jpg' alt='(暖通空调+动力)基础知识,章节练习,强化,信号与信息基础' title='(暖通空调+动力)基础知识,章节练习,强化,信号与信息基础'>
- C.<img src='http://tp.mxqe.com/data/740/13581239_0_3.jpg' alt='(暖通空调+动力)基础知识,章节练习,强化,信号与信息基础' title='(暖通空调+动力)基础知识,章节练习,强化,信号与信息基础'>
- D.<img src='http://tp.mxqe.com/data/740/13581239_0_4.jpg' alt='(暖通空调+动力)基础知识,章节练习,强化,信号与信息基础' title='(暖通空调+动力)基础知识,章节练习,强化,信号与信息基础'>
- 查看答案

-
- A.<img src='http://tp.mxqe.com/data/740/13581238_0_1.jpg' alt='(暖通空调+动力)基础知识,章节练习,强化,信号与信息基础' title='(暖通空调+动力)基础知识,章节练习,强化,信号与信息基础'>
- B.<img src='http://tp.mxqe.com/data/740/13581238_0_2.jpg' alt='(暖通空调+动力)基础知识,章节练习,强化,信号与信息基础' title='(暖通空调+动力)基础知识,章节练习,强化,信号与信息基础'>
- C.<img src='http://tp.mxqe.com/data/740/13581238_0_3.jpg' alt='(暖通空调+动力)基础知识,章节练习,强化,信号与信息基础' title='(暖通空调+动力)基础知识,章节练习,强化,信号与信息基础'>
- D.<img src='http://tp.mxqe.com/data/740/13581238_0_4.jpg' alt='(暖通空调+动力)基础知识,章节练习,强化,信号与信息基础' title='(暖通空调+动力)基础知识,章节练习,强化,信号与信息基础'>
- 查看答案