某严寒地区A区拟建10层办公建筑(南北朝向,平屋顶),矩形平面,其外轮廓平面尺寸为40000mm×14400mm。1层和顶层层高均为5.4m,中间层层高均为3.0m。顶层为多功能厅,多功能厅屋面开设一天窗,尺寸为12000mm×6000mm。该建筑的天窗及屋面的传热系数应为( )。
- A.<img src='http://tp.mxqe.com/data/743/13601577_0.jpg' alt='专业案例(暖通空调专业),章节练习,专业案例(暖通空调专业)' title='专业案例(暖通空调专业),章节练习,专业案例(暖通空调专业)'>
- B.<img src='http://tp.mxqe.com/data/743/13601577_0_1.jpg' alt='专业案例(暖通空调专业),章节练习,专业案例(暖通空调专业)' title='专业案例(暖通空调专业),章节练习,专业案例(暖通空调专业)'>
- C.<img src='http://tp.mxqe.com/data/743/13601577_0_2.jpg' alt='专业案例(暖通空调专业),章节练习,专业案例(暖通空调专业)' title='专业案例(暖通空调专业),章节练习,专业案例(暖通空调专业)'>
- D.应当进行权衡判断确定
正确答案及解析
正确答案
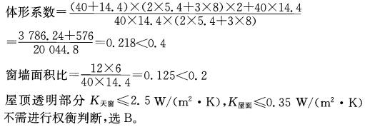
B
解析

包含此试题的试卷
你可能感兴趣的试题

-
- A.<img src='http://tp.mxqe.com/data/233/16867661_0_1.jpg' alt='(暖通空调+动力)基础知识,章节练习,工程科学基础' title='(暖通空调+动力)基础知识,章节练习,工程科学基础'>
- B.<img src='http://tp.mxqe.com/data/233/16867661_0_2.jpg' alt='(暖通空调+动力)基础知识,章节练习,工程科学基础' title='(暖通空调+动力)基础知识,章节练习,工程科学基础'>
- C.<img src='http://tp.mxqe.com/data/233/16867661_0_3.jpg' alt='(暖通空调+动力)基础知识,章节练习,工程科学基础' title='(暖通空调+动力)基础知识,章节练习,工程科学基础'>
- D.<img src='http://tp.mxqe.com/data/233/16867661_0_4.jpg' alt='(暖通空调+动力)基础知识,章节练习,工程科学基础' title='(暖通空调+动力)基础知识,章节练习,工程科学基础'>
- 查看答案

-
- A.3.4
- B.4.2
- C.4.9
- D.6.1
- 查看答案

-
- A.1/3
- B.1/2
- C.2/3
- D.1
- 查看答案

-
- A.18
- B.15
- C.10.9
- D.9
- 查看答案

-
- A.对理想流体,该测压管水头线(Hp线)应该沿程无变化
- B.该图是理想流体流动的水头线
- C.对理想流体,该总水头线(H0线)沿程无变化
- D.该图不适用于描述实际流体的水头线
- 查看答案