题目详情

(暖通空调+动力)基础知识,历年真题,2011年基础知识(暖通空调+动力)真题

(暖通空调+动力)基础知识,历年真题,2011年基础知识(暖通空调+动力)真题

(暖通空调+动力)基础知识,历年真题,2011年基础知识(暖通空调+动力)真题

  • A.见图A
  • B.见图B
  • C.见图C
  • D.见图D

正确答案及解析

正确答案
B
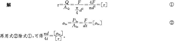
解析

(暖通空调+动力)基础知识,历年真题,2011年基础知识(暖通空调+动力)真题

包含此试题的试卷

你可能感兴趣的试题

单选题

(暖通空调+动力)基础知识,章节练习,暖通空调动力专业基础知识

  • A.<img src='http://tp.mxqe.com/data/741/13597146_0_1.jpg' alt='(暖通空调+动力)基础知识,章节练习,暖通空调动力专业基础知识' title='(暖通空调+动力)基础知识,章节练习,暖通空调动力专业基础知识'>
  • B.<img src='http://tp.mxqe.com/data/741/13597146_0_2.jpg' alt='(暖通空调+动力)基础知识,章节练习,暖通空调动力专业基础知识' title='(暖通空调+动力)基础知识,章节练习,暖通空调动力专业基础知识'>
  • C.<img src='http://tp.mxqe.com/data/741/13597146_0_3.jpg' alt='(暖通空调+动力)基础知识,章节练习,暖通空调动力专业基础知识' title='(暖通空调+动力)基础知识,章节练习,暖通空调动力专业基础知识'>
  • D.不确定
查看答案
单选题

(暖通空调+动力)基础知识,章节练习,暖通空调动力专业基础知识

  • A.漫灰表面
  • B.黑体表面
  • C.辐射时各向均匀表面
  • D.定向辐射和定向反射表面
查看答案
单选题

(暖通空调+动力)基础知识,章节练习,暖通空调动力专业基础知识

  • A.<img src='http://tp.mxqe.com/data/741/13596983_0_1.jpg' alt='(暖通空调+动力)基础知识,章节练习,暖通空调动力专业基础知识' title='(暖通空调+动力)基础知识,章节练习,暖通空调动力专业基础知识'>
  • B.<img src='http://tp.mxqe.com/data/741/13596983_0_2.jpg' alt='(暖通空调+动力)基础知识,章节练习,暖通空调动力专业基础知识' title='(暖通空调+动力)基础知识,章节练习,暖通空调动力专业基础知识'>
  • C.<img src='http://tp.mxqe.com/data/741/13596983_0_3.jpg' alt='(暖通空调+动力)基础知识,章节练习,暖通空调动力专业基础知识' title='(暖通空调+动力)基础知识,章节练习,暖通空调动力专业基础知识'>
  • D.<img src='http://tp.mxqe.com/data/741/13596983_0_4.jpg' alt='(暖通空调+动力)基础知识,章节练习,暖通空调动力专业基础知识' title='(暖通空调+动力)基础知识,章节练习,暖通空调动力专业基础知识'>
查看答案
单选题

(暖通空调+动力)基础知识,章节练习,暖通空调动力专业基础知识

  • A.8~12
  • B.13~17
  • C.18~22
  • D.23~27
查看答案
单选题

(暖通空调+动力)基础知识,章节练习,暖通空调动力专业基础知识

  • A.<img src='http://tp.mxqe.com/data/741/13597137_0_1.jpg' alt='(暖通空调+动力)基础知识,章节练习,暖通空调动力专业基础知识' title='(暖通空调+动力)基础知识,章节练习,暖通空调动力专业基础知识'>
  • B.<img src='http://tp.mxqe.com/data/741/13597137_0_2.jpg' alt='(暖通空调+动力)基础知识,章节练习,暖通空调动力专业基础知识' title='(暖通空调+动力)基础知识,章节练习,暖通空调动力专业基础知识'>
  • C.<img src='http://tp.mxqe.com/data/741/13597137_0_3.jpg' alt='(暖通空调+动力)基础知识,章节练习,暖通空调动力专业基础知识' title='(暖通空调+动力)基础知识,章节练习,暖通空调动力专业基础知识'>
  • D.<img src='http://tp.mxqe.com/data/741/13597137_0_4.jpg' alt='(暖通空调+动力)基础知识,章节练习,暖通空调动力专业基础知识' title='(暖通空调+动力)基础知识,章节练习,暖通空调动力专业基础知识'>
查看答案

相关题库更多 +