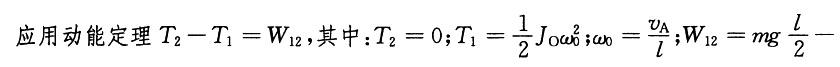
匀质杆质量为m,长OA=l,在铅垂面内绕定轴o转动。杆质心C处连接刚度系数是较大的弹簧,弹簧另端固定。图示位置为弹簧原长,当杆由此位置逆时针方向转动时,杆上A点的速度为VA,若杆落至水平位置的角速度为零,则vA的大小应为:

- A.见图A
- B.见图B
- C.见图C
- D.见图D
正确答案及解析
正确答案
D
解析


你可能感兴趣的试题

-
- A.非碳酸盐硬度为5.10mmol/L
- B.重碳酸镁含量0mmol/L
- C.总硬度为2.50mmol/L
- D.总碱度为2.50mmol/L
- 查看答案

-
- A.<img src='http://tp.mxqe.com/data/748/13603668_0_1.jpg' alt='专业知识(给排水),章节练习,给排水专业知识押题' title='专业知识(给排水),章节练习,给排水专业知识押题'>
- B.<img src='http://tp.mxqe.com/data/748/13603668_0_2.jpg' alt='专业知识(给排水),章节练习,给排水专业知识押题' title='专业知识(给排水),章节练习,给排水专业知识押题'>
- C.<img src='http://tp.mxqe.com/data/748/13603668_0_3.jpg' alt='专业知识(给排水),章节练习,给排水专业知识押题' title='专业知识(给排水),章节练习,给排水专业知识押题'>
- D.<img src='http://tp.mxqe.com/data/748/13603668_0_4.jpg' alt='专业知识(给排水),章节练习,给排水专业知识押题' title='专业知识(给排水),章节练习,给排水专业知识押题'>
- 查看答案

-
- A.每根消防竖管的管径均不应小于150mm
- B.每台水泵出水管的流量不应小于30L/s
- C.消防水箱的最低有效水位应保证最不利点处消火栓栓口的静水压力≥0.10MPa
- D.环状管网中的所有阀门必须设信号阀
- 查看答案

-
- A.立式轴流泵
- B.立式导叶式混流泵
- C.卧式离心泵
- D.卧式轴流泵
- 查看答案

-
- A.废水→预处理→混凝沉淀→膜过滤→离子交换→排水
- B.废水→预处理→活性炭吸附→气浮法→电渗析→排水
- C.废水→混凝气浮→过滤→反渗透→活性炭吸附→排水
- D.废水→预处理→生物处理→沉淀→生物活性炭→排水
- 查看答案