题目详情

(暖通空调+动力)基础知识,历年真题,2014年基础知识(暖通空调+动力)真题

  • A.见图A
  • B.见图B
  • C.见图C
  • D.见图D

正确答案及解析

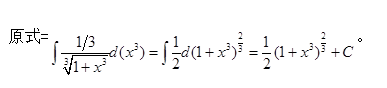
正确答案
D
解析

(暖通空调+动力)基础知识,历年真题,2014年基础知识(暖通空调+动力)真题

包含此试题的试卷

你可能感兴趣的试题

单选题

基础知识(给排水),章节练习,工程科学基础,物理学

  • A.<img src='http://tp.mxqe.com/data/746/13586275_0_1.jpg' alt='基础知识(给排水),章节练习,工程科学基础,物理学' title='基础知识(给排水),章节练习,工程科学基础,物理学'>
  • B.<img src='http://tp.mxqe.com/data/746/13586275_0_2.jpg' alt='基础知识(给排水),章节练习,工程科学基础,物理学' title='基础知识(给排水),章节练习,工程科学基础,物理学'>
  • C.<img src='http://tp.mxqe.com/data/746/13586275_0_3.jpg' alt='基础知识(给排水),章节练习,工程科学基础,物理学' title='基础知识(给排水),章节练习,工程科学基础,物理学'>
  • D.<img src='http://tp.mxqe.com/data/746/13586275_0_4.jpg' alt='基础知识(给排水),章节练习,工程科学基础,物理学' title='基础知识(给排水),章节练习,工程科学基础,物理学'>
查看答案
单选题

基础知识(给排水),章节练习,工程科学基础,物理学

  • A.0
  • B.π/2
  • C.π
  • D.3π/2
查看答案
单选题

基础知识(给排水),章节练习,工程科学基础,物理学

  • A.rr1=kλ
  • B.<img src='http://tp.mxqe.com/data/746/13586271_0_1.jpg' alt='基础知识(给排水),章节练习,工程科学基础,物理学' title='基础知识(给排水),章节练习,工程科学基础,物理学'>
  • C.<img src='http://tp.mxqe.com/data/746/13586271_0_2.jpg' alt='基础知识(给排水),章节练习,工程科学基础,物理学' title='基础知识(给排水),章节练习,工程科学基础,物理学'>
  • D.<img src='http://tp.mxqe.com/data/746/13586271_0_3.jpg' alt='基础知识(给排水),章节练习,工程科学基础,物理学' title='基础知识(给排水),章节练习,工程科学基础,物理学'>
查看答案
单选题

基础知识(给排水),章节练习,工程科学基础,物理学

  • A.y=Acos[2πv(t+to)+π/2]
  • B.y=Acos[2πv(t-to)+π/2]
  • C.y=Acos[2πv(t-to)-π/2]
  • D.y=Acos[2πv(t+to)-π/2]
查看答案
单选题

基础知识(给排水),章节练习,工程科学基础,物理学

  • A.3
  • B.2
  • C.1
  • D.0
查看答案

相关题库更多 +