
- A.可去间断点
- B.跳跃间断点
- C.连续点
- D.第二类间断点
正确答案及解析
正确答案
B
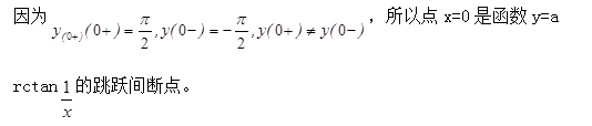
解析


包含此试题的试卷
你可能感兴趣的试题

-
- A.0
- B.0.43
- C.0.75
- D.-0.86
- 查看答案

-
- A.P’+P’’=10W
- B.(I’-I’’)R=20W
- C.<img src='http://tp.mxqe.com/data/746/13587478_0_1.jpg' alt='基础知识(给排水),章节练习,电气技术基础' title='基础知识(给排水),章节练习,电气技术基础'>
- D.因Us、Is未知,无法计算
- 查看答案

-
- A.<img src='http://tp.mxqe.com/data/746/13587477_0_1.jpg' alt='基础知识(给排水),章节练习,电气技术基础' title='基础知识(给排水),章节练习,电气技术基础'>
- B.<img src='http://tp.mxqe.com/data/746/13587477_0_2.jpg' alt='基础知识(给排水),章节练习,电气技术基础' title='基础知识(给排水),章节练习,电气技术基础'>
- C.<img src='http://tp.mxqe.com/data/746/13587477_0_3.jpg' alt='基础知识(给排水),章节练习,电气技术基础' title='基础知识(给排水),章节练习,电气技术基础'>
- D.<img src='http://tp.mxqe.com/data/746/13587477_0_4.jpg' alt='基础知识(给排水),章节练习,电气技术基础' title='基础知识(给排水),章节练习,电气技术基础'>
- 查看答案

-
- A.1M启动后,2M才能启动;1M停转后,2M才能停转
- B.1M启动后,2M才能启动;2M停转后,1M才能停转
- C.2M启动后,1M才能启动;1M停转后,2M才能停转
- D.2M启动后,1M才能启动;2M停转后,1M才能停转
- 查看答案

-
- A.-R4/R3·ui
- B.-R2/(R1+R2)·R4/R3·ui
- C.R2/(R1+R2)·R4/R3·ui
- D.R4/R3·ui
- 查看答案