1kg空气从压力3MPa和温度800K,进行一不可逆膨胀过程到达终态,其终态压力为1.5MPa,温度为700K。若空气的气体常数为0.287kJ/(kg·K)、绝热指数为1.4,此过程中空气的熵变化量是( )。
- A.64.8kJ/(kg·K)
- B.64.8J/(kg·K)
- C.52.37kJ/kg
- D.102.3J/(kg·K)
正确答案及解析
正确答案
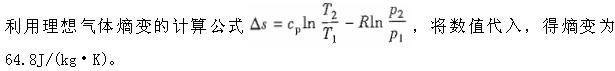
B
解析

你可能感兴趣的试题

-
- A.<img src='http://tp.mxqe.com/data/741/13597146_0_1.jpg' alt='(暖通空调+动力)基础知识,章节练习,暖通空调动力专业基础知识' title='(暖通空调+动力)基础知识,章节练习,暖通空调动力专业基础知识'>
- B.<img src='http://tp.mxqe.com/data/741/13597146_0_2.jpg' alt='(暖通空调+动力)基础知识,章节练习,暖通空调动力专业基础知识' title='(暖通空调+动力)基础知识,章节练习,暖通空调动力专业基础知识'>
- C.<img src='http://tp.mxqe.com/data/741/13597146_0_3.jpg' alt='(暖通空调+动力)基础知识,章节练习,暖通空调动力专业基础知识' title='(暖通空调+动力)基础知识,章节练习,暖通空调动力专业基础知识'>
- D.不确定
- 查看答案

-
- A.漫灰表面
- B.黑体表面
- C.辐射时各向均匀表面
- D.定向辐射和定向反射表面
- 查看答案

-
- A.<img src='http://tp.mxqe.com/data/741/13596983_0_1.jpg' alt='(暖通空调+动力)基础知识,章节练习,暖通空调动力专业基础知识' title='(暖通空调+动力)基础知识,章节练习,暖通空调动力专业基础知识'>
- B.<img src='http://tp.mxqe.com/data/741/13596983_0_2.jpg' alt='(暖通空调+动力)基础知识,章节练习,暖通空调动力专业基础知识' title='(暖通空调+动力)基础知识,章节练习,暖通空调动力专业基础知识'>
- C.<img src='http://tp.mxqe.com/data/741/13596983_0_3.jpg' alt='(暖通空调+动力)基础知识,章节练习,暖通空调动力专业基础知识' title='(暖通空调+动力)基础知识,章节练习,暖通空调动力专业基础知识'>
- D.<img src='http://tp.mxqe.com/data/741/13596983_0_4.jpg' alt='(暖通空调+动力)基础知识,章节练习,暖通空调动力专业基础知识' title='(暖通空调+动力)基础知识,章节练习,暖通空调动力专业基础知识'>
- 查看答案

-
- A.8~12
- B.13~17
- C.18~22
- D.23~27
- 查看答案

-
- A.<img src='http://tp.mxqe.com/data/741/13597137_0_1.jpg' alt='(暖通空调+动力)基础知识,章节练习,暖通空调动力专业基础知识' title='(暖通空调+动力)基础知识,章节练习,暖通空调动力专业基础知识'>
- B.<img src='http://tp.mxqe.com/data/741/13597137_0_2.jpg' alt='(暖通空调+动力)基础知识,章节练习,暖通空调动力专业基础知识' title='(暖通空调+动力)基础知识,章节练习,暖通空调动力专业基础知识'>
- C.<img src='http://tp.mxqe.com/data/741/13597137_0_3.jpg' alt='(暖通空调+动力)基础知识,章节练习,暖通空调动力专业基础知识' title='(暖通空调+动力)基础知识,章节练习,暖通空调动力专业基础知识'>
- D.<img src='http://tp.mxqe.com/data/741/13597137_0_4.jpg' alt='(暖通空调+动力)基础知识,章节练习,暖通空调动力专业基础知识' title='(暖通空调+动力)基础知识,章节练习,暖通空调动力专业基础知识'>
- 查看答案