题目详情
全站导航
首页
试卷库
试题库
试卷导航
建筑工程
职业资格
公务员
财会类
医卫类
外语类
计算机类
学历类
试题导航
建筑工程
职业资格
公务员
财会类
医卫类
外语类
计算机类
学历类
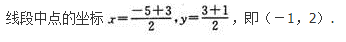
已知点A(-5,3),B(3,1),则线段AB中点的坐标为( )
A.(4,-1)
B.(-4,1)
C.(-2,4)
D.(-1,2)
查看答案
纠错
正确答案及解析
正确答案
D
解析
包含此试题的试卷
2022年成人高等考试《文科数学》(高起本)预测试卷
2022年成人高等考试《理科数学》(高起本)预测试卷
你可能感兴趣的试题
问答题
查看答案
问答题
查看答案
单选题
A.见图A
B.见图B
C.见图C
D.见图D
查看答案
单选题
A.见图A
B.见图B
C.见图C
D.见图D
查看答案
单选题
A.见图A
B.见图B
C.见图C
D.见图D
查看答案
相关题库
更多 +
语文
英语
文科数学
历史地理综合
物理化学综合
题目纠错
提交
取消