对于多个资产组成的投资组合,设E(rp)为投资组合的期望收益率,E(ri)为第i个资产的收益率,Wi为第i个资产的权重,n为资产数目,那么投资组合期望收益率为( )。

- A.见图A
- B.见图B
- C.见图C
- D.见图D
正确答案及解析
正确答案
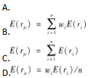
B
解析
对于多个资产组成的投资组合,设E(rp)为投资组合的期望收益率,E(ri)为第i个资产的收益率,wi为第i个资产的权重,n为资产数目,那么投资组合期望收益率为:

知识点:掌握资产收益率的期望、方差、协方差、标准差等的概念、计算和应用;
你可能感兴趣的试题
我国基金管理人进行基金的募集,必须向( )提交相关文件。
-
- A.中国证监会
- B.中国证券业协会
- C.中国基金业协会
- D.中国人民银行
- 查看答案
一项业务在经过两个以上相互制约环节对其进行监督和核查时,其发生错弊现象的概率较低,为此对于股权投资中重要环节的工作需要在内部控制层面进行相互制约,下列说法正确的是( )。
Ⅰ.就纵向控制而言,完成某个重要环节的工作需由来自彼此独立的两个平行部门或人员协调运作、相互监督、相互制约、相互证明
Ⅱ.就具体的内部控制措施来说,相互制约须考虑横向控制和纵向控制两方面的制约关系
Ⅲ.经过横向控制和纵向控制的核查和制约,工作中发生的错弊将进一步减少,即使发生问题,也将便于纠正
Ⅳ.就横向控制而言,完成某个工作需经过两个或两个以上的纵向岗位和环节,以使下级受上级监督,上级受下级牵制
-
- A.Ⅰ、Ⅱ
- B.Ⅱ、Ⅲ
- C.Ⅰ、Ⅲ、Ⅳ
- D.Ⅰ、Ⅱ、Ⅲ、Ⅳ
- 查看答案
( )是金融市场上进行交易的载体。
-
- A.政府
- B.中央银行
- C.金融机构
- D.金融工具
- 查看答案
股权投资基金的( )拥有鲜明特点,因此,组织形式的选择需要与基金的实际运作需求紧密相关。
I运作模式
II利益分配方式
III内部组织机构的设置
IV基金生命周期中的现金流模式
-
- A.I、II、III
- B.I、II、IV
- C.I、III、IV
- D.I、II、III、IV
- 查看答案
理财指的是对( )进行管理。
-
- A.现金
- B.储蓄
- C.投资
- D.财务
- 查看答案