某技术方案的净现金流量见下表。若基准收益率为10%,则方案的净现值为( )。

- A.727.280万元
- B.545.455万元
- C.122.055万元
- D.300.000万元
正确答案及解析
正确答案
C
解析
2021/2020版教材P24
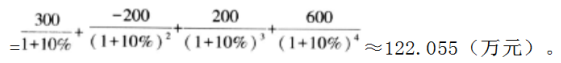
考点:财务净现值的概念。根据财务净现值公式,财务净现值

你可能感兴趣的试题
根据《招标投标法实施条例》,视为投标人相互串通投标的情形有( )。
-
- A.投标人之间协商投标报价
- B.不同投标人委托同一单位办理投标事宜
- C.不同投标人的投标保证金从同一单位的账户转出
- D.不同投标人的投标文件载明的项目管理成员为同一人
- E.投标人之间约定中标人
- 查看答案
某建设工程项目中标人与招标人签订合同并备案的同时,双方针对结算条款签订了与备案合同完全不同的补充协议。后双方因计价问题发生纠纷,遂诉至法院。法院此时应该( )作为结算工程款的依据。
-
- A.双方达成的补充协议
- B.双方签订的备案合同
- C.类似项目的结算价格
- D.市场的平均价格
- 查看答案
关于施工图预算和施工预算的说法,错误的是( )。
-
- A.施工预算的材料消耗量一般低于施工图预算的材料消耗量
- B.施工预算是施工企业内部管理的一种文件,与建设单位无直接关系
- C.施工预算的用工量一般比施工图预算的用工量低
- D.施工图预算中的脚手架是根据施工方案确定的搭设方式和材料计算的
- 查看答案
关于施工成本控制的说法,正确的是( )。
-
- A.施工成本管理体系由社会有关组织进行评审和认证
- B.要做好施工成本的过程控制,必须制定规范化的过程控制程序
- C.管理行为控制程序是进行成本过程控制的重点
- D.管理行为控制程序和指标控制程序是相互独立的
- 查看答案
工业安装工程中,分部分项工程质量验收记录的检查评定结论由()编写。
-
- A.建设单位
- B.监理单位
- C.设计单位
- D.施工单位
- 查看答案