假设某大宗商品的国际需求函数Q=a-P。两个寡头公司1和2向该市场提供同质产品,拥有不变的单位边际成本,分别为c1和c2,且有a>c2 >c1。 若两个公司展开古诺(Cournot)竞争,则各自的纳什均衡产量q1和q2是多少?
正确答案及解析
正确答案
解析
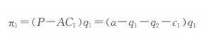
若两个企业展开古诺竞争,则寡头公司1的利润函数为:

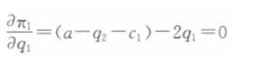
利润最大化的一阶条件为:

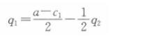
从而寡头公司1的反应函数为:

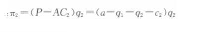
寡头公司2的利润函数为:

同理可得其反应函数为:

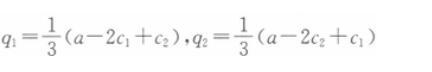
联立两个公司的反应函数①②可得:

此即为古诺竞争 下的纳什均衡产量。
包含此试题的试卷
你可能感兴趣的试题
在社会规范学习与道德品质发展的研究中,班都拉(ABandura)等心理学家的研究重点是
-
- A.道德认识
- B.道德情感
- C.道德意志
- D.道德行为
- 查看答案
与悬浮-密实结构的沥青混合料相比,关于骨架-空隙结构的黏聚力和内摩擦角的说法,正确的是( )。
-
- A.黏聚力大,内摩擦角大
- B.黏聚力大,内摩擦角小
- C.黏聚力小,内摩擦角大
- D.黏聚力小,内摩擦角小
- 查看答案
沥青混合料结构组成中,骨架-空隙结构的特点是( )。
-
- A.黏聚力较高,内摩擦角较小
- B.黏聚力较高,内摩擦角较大
- C.黏聚力较低,内摩擦角较大
- D.黏聚力较低,内摩擦角较小
- 查看答案
柔性路面主要代表是沥青类路面,其破坏主要取决于( )和极限垂直变形。
-
- A.剪切变形
- B.抗剪强度
- C.弯拉强度
- D.弯拉应变
- 查看答案
雅各宾派也被称为()
-
- A.沼泽派
- B.平等派
- C.忿激派
- D.山岳派
- 查看答案