假定产出是根据含有失业率的生产函数Y= Kα[(l-u*)L]1-α 来表示的。在上式中,K为资本,L为劳动力,u*为自然失业率。国民储蓄率为s,劳动力增长率为n,资本折旧率为δ。失业通过哪两种途径影响稳态的产出水平?
正确答案及解析
正确答案
解析
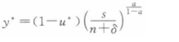
由(2)可知,稳态时人均产出水平为

可知失业通过以下两种途径影响稳态的产出水平: ①失业通过影响自然失业率U*进而影响稳态产出水平y*。

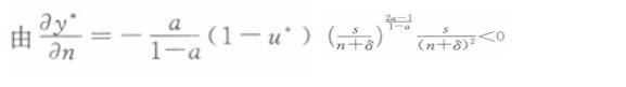
失业持续增加,导致U*上升,从而会使得稳态人均产出y*减少。 ②失业通过影响劳动力增长率n进而影响稳态人均产出y*。

可知,失业增加,会导致劳动供给减少,劳动力增长率n下降,稳态产出y*减少。


