假定产出是根据含有失业率的生产函数Y= Kα[(l-u*)L]1-α 来表示的。在上式中,K为资本,L为劳动力,u*为自然失业率。国民储蓄率为s,劳动力增长率为n,资本折旧率为δ。 请把人均产出(y=Y/L)表示为人均资本(k=K/L)和自然失业率的函数。
正确答案及解析
正确答案
解析
由生产函数

两边同时除以劳动力L,得:

其中,y表示人均产出,k表示人均资本,u*表示自然失业率。
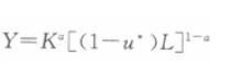
假定产出是根据含有失业率的生产函数Y= Kα[(l-u*)L]1-α 来表示的。在上式中,K为资本,L为劳动力,u*为自然失业率。国民储蓄率为s,劳动力增长率为n,资本折旧率为δ。 请把人均产出(y=Y/L)表示为人均资本(k=K/L)和自然失业率的函数。
由生产函数

两边同时除以劳动力L,得:

其中,y表示人均产出,k表示人均资本,u*表示自然失业率。