假定产出是根据含有失业率的生产函数Y= Kα[(l-u*)L]1-α 来表示的。在上式中,K为资本,L为劳动力,u*为自然失业率。国民储蓄率为s,劳动力增长率为n,资本折旧率为δ。 计算该经济的稳态的人均资本和人均产出。
正确答案及解析
正确答案
解析
稳态时有sf(k)一(n+δ)k,即:

解得稳态人均资本为:

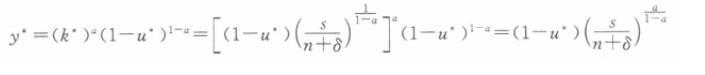
从而稳态的人均产出为:

假定产出是根据含有失业率的生产函数Y= Kα[(l-u*)L]1-α 来表示的。在上式中,K为资本,L为劳动力,u*为自然失业率。国民储蓄率为s,劳动力增长率为n,资本折旧率为δ。 计算该经济的稳态的人均资本和人均产出。
稳态时有sf(k)一(n+δ)k,即:

解得稳态人均资本为:

从而稳态的人均产出为:
