已知消费者的效用函数为U=αlnx1+x2,请写出在P1=2,p2 =4,y=10,a=1/3时p2变化对于x1(p,y)的替代效应和收入效应。其中p1、p2分别代表两种物品x1、x2的价格,y代表消费者的收入水平。如果p2从4上升为p'2 =5,P1保持不变,那么为了使该消费者效用水平(用U表示)保持不变,应该如何对该消费者进行补偿?
正确答案及解析
正确答案
解析
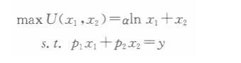
根据拟线性效用函数性质求解。消费者的效用最大化问题为:

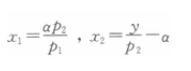
求解可得:

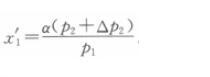
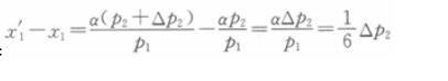
设商品x2的价格变化量为△p2,即p'2=p2 +△p2,则此时

从而替代效应=总效应=

收入效应为0。 若p'2=5,则替代效应为1/6(2)由(1)可得马歇尔需求函数为:

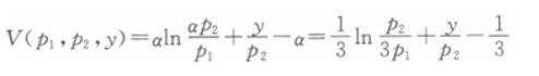
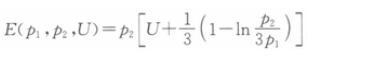
支出函数为:

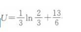
为使效用

保持不变,则消费者补偿为:



